Nollproduktmetoden
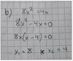
Jag försöker lösa 8x^2 = 4x genom att göra såhär
Men blir helt fel, jag tar över 4x till andra sidan så det blir -4x och sedan bryter jag ut x och blir då väl 8x(x -4) ?
Eller vad är det som blir fel här, jag är lite kass när det gäller att bryta ut om ni har tips på vad jag kan titta på för video eller något för att bli bättre :)
Nej, vad får du om du multiplicerar ihop 8x(x-4) igen?
Laguna skrev:Nej, vad får du om du multiplicerar ihop 8x(x-4) igen?
Det blir väl 8x^2 - 32x va? Om jag tar 8x * x och 8x * 4 .. Om jag ska bryta ut x .. så ska man väl ställa upp det enkelt t.ex
8 * x * x - 4 * x = 0 ??
Och så tar man bort dom x som är dubbelt så då blir
8 * x - 4 = 0 .. kvar?
och då blir uppställningen
8(x-4) = 0 va?
Eller tänker jag helt felt här?
Som du ser var faktoriseringen 8x(x-4) inte rätt.
Bryta ut x går bra, men det är fortfarande inte så att 8(x-4) är 8x-4.
Men jag ska sedan använda Nollproduktmetoden så att det blir
x1 = -8 och x2 = 4 va?
Då 8x är ett plus tal och det blir - med Nollproduktmetoden och -4 blir +4 ??
Om du envisas med att lösa 8x(x-4) = 0, så har du en faktor x-4, som är noll när x = 4, det stämmer, och en faktor 8x som är noll när då?
Jag tror jag förstår det nu när jag kollat runt lite och jag har nog tänkt väldigt fel när jag gjort dom innan.. Jag vet inte om detta är 100% rätt men om det är så hoppas jag det kanske kan hjälpa andra..
Men om jag t.ex tar
x(x+7) = 0
Så har jag tänkt såhär
x * x = 0 då x har inget siffra?
och typ att om det är + framför x så blir det ett automatisk - i dessa uppgifter.. Men nu fick jag kanske fram att man ska tänka på detta sättet
Man delar upp dom två så att x och (x+7) är för sig själva.. Typ om man tänker att man flyttar bort dom från varandra så
x(x + 7) = 0
x = 0
x + 7 = 0
Sen så ska x blir ensamt då får man göra
x + 7 - 7 = -7
så det blir
x = - 7
Jag tror jag kanske gör allt detta för komplicerat men då förstår jag nog uppgiften lite mer..
8x^2 = 4x
8x^2 - 4x = 0
sen faktorisera
4x(2x - 1) = 0
Sen tar man
4x = 0
4/4 = 0/4
x = 0
2x - 1 = 0
2x -1 + 1 = +1
2x / 2 = 1 / 2
x = 1/2
Kanske varit lättare att skriva på papper och sen ta bild. Men är jag helt ute på havet eller har jag rätt i detta nu?
Sätt in dina båda lösningar i ursprungsekvationen och kolla om det stämmer.
Visa spoiler
Ja, det stämmer.
Smaragdalena skrev:Sätt in dina båda lösningar i ursprungsekvationen och kolla om det stämmer.
Visa spoiler
Ja, det stämmer.
Jo, man ska alltid kunna kontrollera om det stämmer vilket det gör
2x - 1 = 0 ( 2 * 1/2 = 1 > 1 - 1 = 0 )
4x = 0
4 * 0 = 0
Men tänkte på tankesättet som jag försökte förklara. Då jag tror att jag har tänkt fel på uppgifter / övningar innan.
Du verkar ha ränkt rätt. Om nånting gånger nåntingannat är lika med 0, så måste antingen nånting eller nåntingannat ha värdet 0, annars skulle inte produkten kunnat bli noll.