Nollrum och värderum (2)
Har jag resonerat/skrivit rätt trots att mitt svar inte liknar facit?


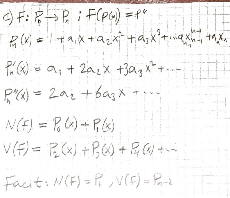
Pn betecknar mängden av polynom med grad högst n.
P0 är då en delmängd av P1 (eller hur?). Alla element i P1 kommer att bli 0 efter derivering två gånger. P1 är då nollrummet till F.
Bildrummet är Pn-2, eftersom graden på polynomet minskar med 1 för varje derivering.
(Bildrum är synonymt med värderum.)
Tack för en bra förklaring! Jag är med på det du skriver!
Men är det fel att svara så som jag gjorde i nollrummet ändå? Det jag skrev låter som att skriva t.ex. att svaret är 1+0 istället för att skriva 1 (i ett sammanhang), eller?
Det är några saker du behöver få klart för dig här.
Nollrummet är en mängd (det är ett vektorrum till och med), mängden av alla vektorer som mappas på nollvektorn. Vad är nollvektorn i detta sammahanget? Polynomet av grad noll, p(x)=0. Det är den enda vektorn som finns i vektorrummet P_0.
Vi har en linjär avbildning, det är differentialoperatorn. Vet du varför den är linjär? För att D(f+g)=Df+Dg samt D(cf)=cD(f). Ja, så vilka polynom är sådana att två deriveringar gör dem till noll? Jo, alla andragradspolynom.
Vad är nollvektorn i detta sammahanget? Polynomet av grad noll, p(x)=0. Det är den enda vektorn som finns i vektorrummet P_0.
Är inte Polynomet av grad noll ?.
Ja, så vilka polynom är sådana att två deriveringar gör dem till noll? Jo, alla andragradspolynom.
Fast ger talet vid derivering två gånger, eller vad menar?
Skyller det på att det börjsr bli sent, jag börjar om, glöm det jag skrev.
Sänk alla mina påståenden med en grad så blir allt rätt. Dvs P_0 är rummet av konstanta polynom där nollan ingår.
Rätt svar på frågan är att rummet av alla polynom av grad 1 är kärnan tilm avbildningen. Bilden av avbildningen är P_n-2.
Ditt svar är fel för att:
- När du skriver "P_1(x)" så syftar det på ett element i P_1. Skriv därför inte på det där sättet.
- Var försiktig också eftersom du adderar mängder med plustecken här, det är inte bra. Du adderar mängder med ∪. Speciellt för vektorrum "adderar" man med hjälp av direkt produkt vars symbol är ⊕.
- Du behöver inte addera nåt överhuvudtaget eftersom P_1⊂P_2.
Ok. Dimensionen av kärnan då? Är det 2? Jag tänker att vi har baserna (1 x)
Om du inte är övertygad förklarar jag gärna igen på nåt annat sätt, säg till då.
Yes, det är dim=2. {1, x} är en bas, men inte den enda möjliga!
Jag har ju förstått vad du skrev. Är med på det. Du kan testa mig med en uppgift eller fråga typ ;').
Vad menar du med att det rikns fler än baserna (1 x)
Hur och varför?
Ok, bra.
Om C^n([0,1]) är rummet av alla n gånger kontinuerligt deriverbara funktioner på intervallet [0,1], vad är kärna och bild av operatorerna:
- L(f)=xf(x)?
- L(f)=Df?
- L(f)=gf, där g är en funktion vi valt från rummet C^5([0,1])?
{x+1, 1} är ju också en bas. Det enda vi behöver är två lin oberoende vektorer, de kommer spänna upp rummet.
Qetsiyah skrev:Ok, bra.
Om C^n([0,1]) är rummet av alla n gånger kontinuerligt deriverbara funktioner på intervallet [0,1], vad är kärna och bild av operatorerna:
- L(f)=xf(x)?
- L(f)=Df?
- L(f)=gf, där g är en funktion vi valt från rummet C^5([0,1])?
{x+1, 1} är ju också en bas. Det enda vi behöver är två lin oberoende vektorer, de kommer spänna upp rummet.
Ja juste! Tack!
Tillägg: 25 sep 2021 00:52
Löser uppgiften sen.