normalens ekvation
Hej,
ska lösa normalens ekvation av funktionen y= där x=2
hur går jag vidare??
Du får ta fram derivatan i den punkten, vilket är detsamma som k för tangenten.
Normalens vinkel är 90 grader mot tangenten så indirekt har du då fått k för normalen.
okej derivatan i den punkten blir 20 = k för tangenten = normalens K?
Tangents k är 20. Normalens kan inte vara samma. Det finns ett enkelt samband mellan riktningskoefficienterna för ortogonala linjer.
det ska vara -20
Nej. Rita de båda linjerna i samma koordinatsystem så ser du att det inte stämmer.
Komer du ihåk formeln k1k2 = -1 från Ma2?
är det enpunktsformeln?
Nej enpunktsformeln är något annat.
Se lite teori här
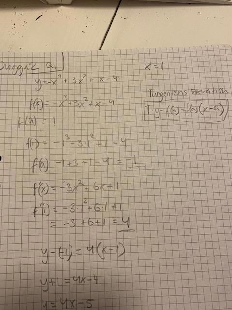
jag har löst tangentens ekvation till y=4x-5 och vad jag förstår så ska jag kunna lösa normalen med hjälp av det jag vet från tangenten, men jag vet inte hur?
normalens ekvation är: y-f(a)=
hur gör jag för att använda den?
är normalens ekvation y=-0,05x+15,1??
Din ekvation y = 4x-5 för tangenten stämmer inte.
Kan du visa hur du kom fram till den så hjälper vi dig att hitta felet?
Joh_Sara skrev:är normalens ekvation y=-0,05x+15,1??
Ja det stämmer.

Jag gjorde såhär för att räkna ut tangentens ekvation.
Joh_Sara skrev:
Jag gjorde såhär för att räkna ut tangentens ekvation.
Det där är en annan uppgift.
oj skickade fel...

den ska det vara.