1
svar
95
visningar
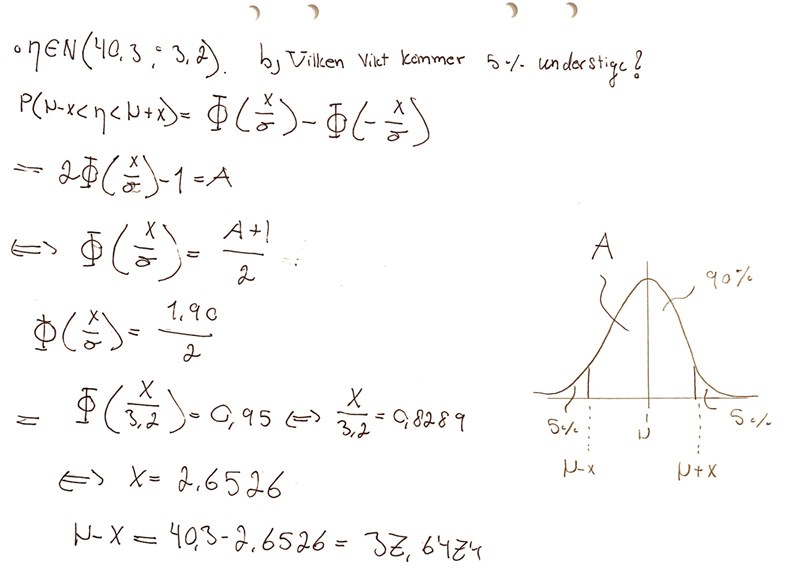
Normalfördelad - Understiger x procent.

Mitt problem handlar om b) där man ska hitta vikt 5% kommer understiga. Mitt försök är:

( är min symbol för stokastisk variabel).
Jag försökte alltså hitta Höger och vänster led så att mitten är 90% (5% varje sida). Tyvärr får jag fel svar, denna metod är den enda jag kan tänka mig.
Tack!
Jag har inga tabeller tillgängliga, men jag har för mig att 5% av en normalfördelad variabel ligger 1,643 standardavvikelser till höger om väntevärdet. Om det är rätt så ligger 5% lika långt till vänster om väntev. Det ger svaret 40,3–5,2576 ≈ 35,0 gram