normalfördelade data
Hej!
Jag har en uppgift i Statistisk analys. I uppgiften ska jag simulera 8 stickprov av storlek 10.
Ska jag ge samma värde för alla stickprov eller ska varje stickprov ha olika väntevärde och standardavvikelse?
Jag antar att x1,...,x8=(10,5,5) där 10 = stickprovsstorlek och 5 = väntevärde = standardavvikelse. Då har jag :

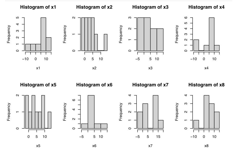
Vad betyder dessa?
Det är utfallet av dina 8 stickprov ur samma normalfördelning. I t.ex. x1 tycks ett(1) av värdena hamnat mellan -10 och -5, ett(1) av värdena mellan -5 och 0, ett(1) av värdena mellan 0 och 5, fem(5) av värdena mellan 5 och 10 samt två(2) av värdena mellan 10 och 15. Att den sedan inte råkar bilda en fin Gauss-kurva beror på att det är så få värden att de råkat fördela sig på ett sätt att det är mer värden i övre halvan av fördelningen, men om du skulle begära att få ut säg 1000 stickprov skulle det antagligen likna en Gauss-kurva mer.
Vem har skrivit funktionen rnorm? Vad gör den?
Laguna skrev:Vem har skrivit funktionen rnorm? Vad gör den?
rnorm är inbyggd i R och drar tal från en normalfördelning
I uppgifter står att alla stickprov ska komma från normalfördelningen med samma medelvärde och standardavvikelse. Så varje stickprov ska genereras med funktionen rnorm(10,a,b) som det står i uppgiften. Det är ju dock slumpmässiga variabler, så om du skulle räkna ut exempelvis medelvärdet för de olika stickproven kommer de inte vara exakt lika, även om de genererades från fördelning med samma medelvärde. Det kan du också se i dina plottar: stickproven är genererade från samma fördelning, men eftersom du har väldigt få värden ser stickprovens fördelningar ganska olika ut