1
svar
121
visningar
Normalfördelning Statistik
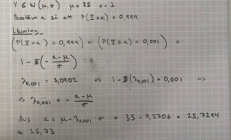
Jag har löst en uppgift med hjälp av en annan uppgift i boken. Jag är osäker på varför det blir så här. Skulle uppskatta lite pekpinnar längs uträkningens väg. Förstår framförallt inte varför man väljer att sätta
Det är väl bara en omskrivning?

Förstår framförallt inte varför man väljer att sätta ….
Betrakta symmetrin i normal-fördelningskurvan och hur kurvan används för att beräkna sannolikheter.
