0
svar
66
visningar
Normalvektorn eller enhetsnormalen?
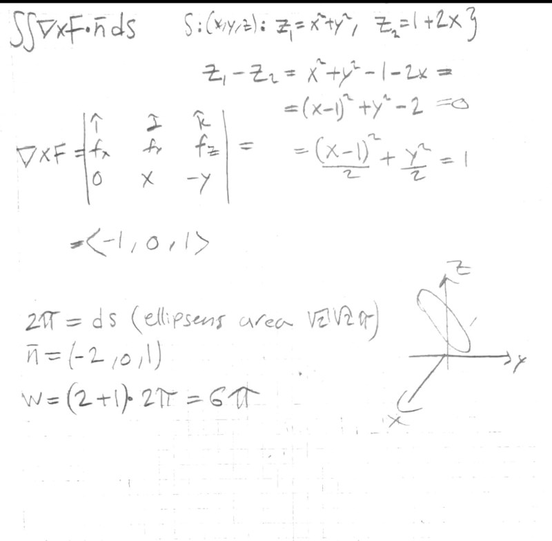
Jag infogar lösningar på två uppgifter som går ut på att använda Stokes formel. Men i ena uppgiften använde jag och i den andra istället. Så hur går det till egentligen? :/
Infogar uppgifterna nedan:


ANDRA UPPGIFTEN:

