3
svar
219
visningar
Np 2013
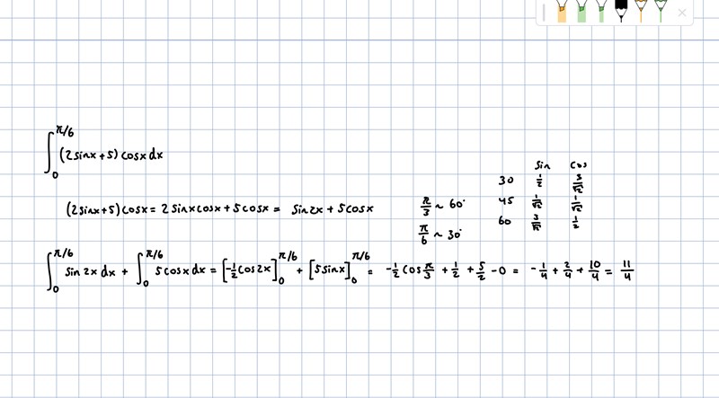
Uppgift 14
https://www.matteboken.se/lektioner/matte-4/nationella-prov/nationella-provet-vt13/uppgift-14
Varför kan man inte skriva om i integranden 2sinxcosx till sin(2x)?
Det går bra också, är t.o.m. enklare anser jag. Prova, du bör få rätt svar. Båda sätten fungerar.
Fast får fel svar Primitiva funktionen blir (-cos(2x))/2+5sin(x)
Fotbollskillen12 skrev:Fast får fel svar Primitiva funktionen blir (-cos(2x))/2+5sin(x)
Råka du räkna med pi/3 på cos och pi/3 på sin istället för pi/6 för sin?
