Päivi skrev :
Hej Päivi.
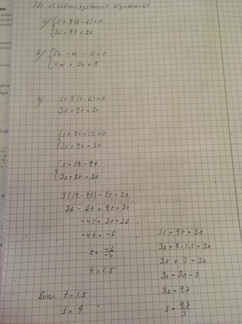
Detta ekvationssystem lämpar sig väl för additionsmetoden eftersom du då endast behöver multiplicera en av ekvationerna med -1 innan du adderar dem.
Men om du vill fortsätta på additionsmetoden så går även det alldeles utmärkt.
Din sist skrivna ekvation säger att 2t = 30 - 3s.
Eftersom du även har en term 2t i den näst sist skrivna ekvationen så kan du substituera (ersätta) den med 30 - 3s och sedan lösa ut s.
De här är lite besvärliga måste jag säga, eftersom jag är mera van med additions metoden.
Päivi skrev :De här är lite besvärliga måste jag säga, eftersom jag är mera van med additions metoden.
Orsaken till att det finns 3 standardmetoder för att lösa enkla linjära ekvationssystem är att de passar olika bra för olika ekvationssystem.
I just detta fallet hade jag valt additionsmetoden.
Jag var intresserad av lära den här nya metoden och därför försökte jag lösa den här ändå. Den andra är jag van vid och har kört mycket av.

