Nu förstår jag inte

Päivi skrev :
Tänk på grafens form och hur den ser ut i förhållande till symmetrilinjen.
Du kan använda samma tänk på alla tre uppgifterna.
De tankarna fick jag nyss, Yngve
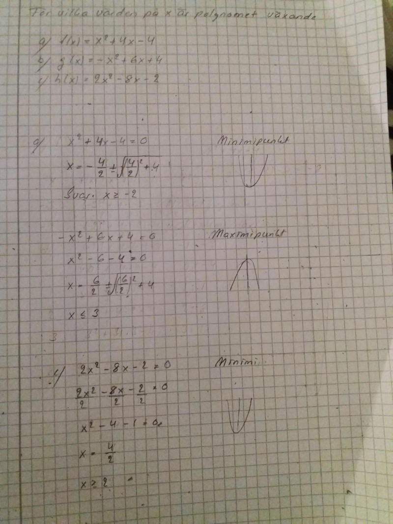
Se bild
Päivi, det här är mycket bra!
Klart och tydligt (om än något kortfattat) resonemang.
Det jag vill berömma dig alldeles extra för är dina grova skisser över graferna.
Det är precis vad som behövs, varken mer eller mindre. Du sparar massor av tid på att bara rita grafernas principiella utseende och inte detaljerat hitta och rita ut nollställen, max/minpunkt, koordinataxlar, göra värdetabeller och hela konkarongen.
Det ser man om det är minus tecken framför x^2 eller plus tecken för att kunna avgöra om det är minimi eller maximi punkt. Man slipper rita grafer överhuvudtaget, bara man vet, vilket är vilket. Har man
- x^2 bara det här talar om att det är maximi punkt
x^2 då är det här minmipunkt.