Nu förstår jag inte detta

Ekvation A ställer problem. Det var länge sedan jag löste med tre obekanta. Jag vet om att jag är inne i rätt väg ändå, men ekvation A ställer hinder för mig. Ber hjälp med detta.
Päivi skrev :
Ekvation A ställer problem. Det var länge sedan jag löste med tre obekanta. Jag vet om att jag är inne i rätt väg ändå, men ekvation A ställer hinder för mig. Ber hjälp med detta.
Hej Päivi.
Vilken metod har du använt för att leta efter egna slarvfel?
Så mycket vet jag att här har jag inte ens slarv fel. Felet sitter annat ställe nu, som jag är inte van vid.
Jag har gjort särskild kontroll här som pilarna visar, hur jag multiplicerar, men det fungerar inte eftersom ekvation A ställer problem.
Jag har använt additions metoden. Tagit en sak i taget och multiplicerat ihop det.
Har man ingen lust hjälpa mig, tackar jag för hjälpen då.
Jag tackar för hjälpen nu. Hjälpen fick jag annat håll nu. Jag har sökt hjälp annat håll nu. Uppgiften är löst nu. 

Päivi skrev :Så mycket vet jag att här har jag inte ens slarv fel. Felet sitter annat ställe nu, som jag är inte van vid.
Jag har gjort särskild kontroll här som pilarna visar, hur jag multiplicerar, men det fungerar inte eftersom ekvation A ställer problem.
Hej Päivi.
Du svarade inte på min fråga. På vilket sätt kom du fram till att du inte hade gjort ett slarvfel?
Om din kontrollmetod består av pilar som visar hur du multiplicerar så fungerar den tydligen inte så bra eftersom den inte hjälpte dig att hitta slarvfelet som du faktiskt gjorde. Du har alltså fel när du säger att du inte hade gjort ett slarvfel. Att du trodde detta beror helt och hållet på att du inte använder tillräckligt bra metoder.
Med hjälp av den enkla metod som jag har föreslagit flera gånger så skulle du enkelt ha kunnat hitta felet.
Jag provar många gånger så att jag gör det 5 ggr och sedan lämnar jag den. Söker vidare därefter.
Päivi skrev :Jag provar många gånger så att jag gör det 5 ggr och sedan lämnar jag den. Söker vidare därefter.
Du svarar inte på min fråga Päivi.
Jag frågar hur du letar efter slarvfel.
Du svarar att du gör det.
Förstår du skillnaden?
--------------
Jag tror inte att du ens har försökt att använda min föreslagna metod.
Jag har gjort det många gånger. Visst får man många olika svar, men inget är rätt ändå.
Jag har sett skillnad att det kan man få många olika svar som ger många svar, men inget blir rätt.
Det är sorgligt.
Päivi skrev :Jag har gjort det många gånger. Visst får man många olika svar, men inget är rätt ändå.
Du svarar fortfarande inte på min fråga Päivi.
Jag frågar hur du letar efter slarvfel.
Du svarar att du gör det (många gånger).
Förstår du skillnaden?
Person A: "Hur gjorde du den där goda pajen?"
Person B: "Jag gjorde en paj."
Jag skriver i flera kladd papper och räknar om flera gånger om men kommer inget vart. Har inte ens blocken framför mig. Provar och provar och till slut lämnar jag uppgiften.
Päivi skrev :Jag skriver i flera kladd papper och räknar om flera gånger om men kommer inget vart. Har inte ens blocken framför mig. Provar och provar och till slut lämnar jag uppgiften.
Det är säkert för att du gör olika fel varje gång. Jämför du de nya uträkningarna med de gamla så att du ser var de skiljer sig? Det är vid dessa ställen du ska titta extra noga för att se vilket som är rätt.
---------
Men har du ens läst om min föreslagna metod? Den hanterar just det problemet att dy gör olina fel varje gång. Den bygger på att det är ytterst osannolikt att du skulle göra exakt samma slarvfel vid exakt samma ställe i uträkningarna två gånger i rad.
Den här metoden har jag alltid använt och när den inte hjälper lägger jag den åt sidan och lämnar.
Päivi skrev :Den här metoden har jag alltid använt och när den inte hjälper lägger jag den åt sidan och lämnar.
Ja, och det borde säga dig något om metoden. Den fungerar inte tillräckligt bra. Varför är du så tjurskallig? Jag vill ju bara hjälpa dig att bli bättre.
--------
Jag har alltid skalat potatis på detta sättet. Jag skär mig i och för sig i tummen varje gång, men jag ser ingen anledning att ändra teknik.
Jag har en uppgift på gång som jag håller på funderar här, hur jag ska göra, men det är liknande problem som det här. Jag har inte ännu kommit särskild långt med den. Nu tänker jag fundera bra tag med den. Använder inte samma metod mera. Försöker använda substitutions metoden. Det är inte lätt när det handlar om tre obekanta. Additions metoden fungerar inte på den här. Nu funderar jag hur jag ska lösa uppgiften.
Jag har inte gott om tid. Jag har ont om tid.
Både additionsmetoden och substitutionsmetoden fungerar på alla linjära ekvationssystem, men de passar mer eller mindre bra beroende på hur ekvationssystemet ser ut.
Grafisk metod fungerar inte bra om det är fler än två obekanta.
Nu tänker jag försöka mera på det som jag inte är bra på tex på substitutions metoden.
Jag klarar inte ta detta med additions metoden.
Päivi skrev :
Ekvation A ställer problem. Det var länge sedan jag löste med tre obekanta. Jag vet om att jag är inne i rätt väg ändå, men ekvation A ställer hinder för mig. Ber hjälp med detta.
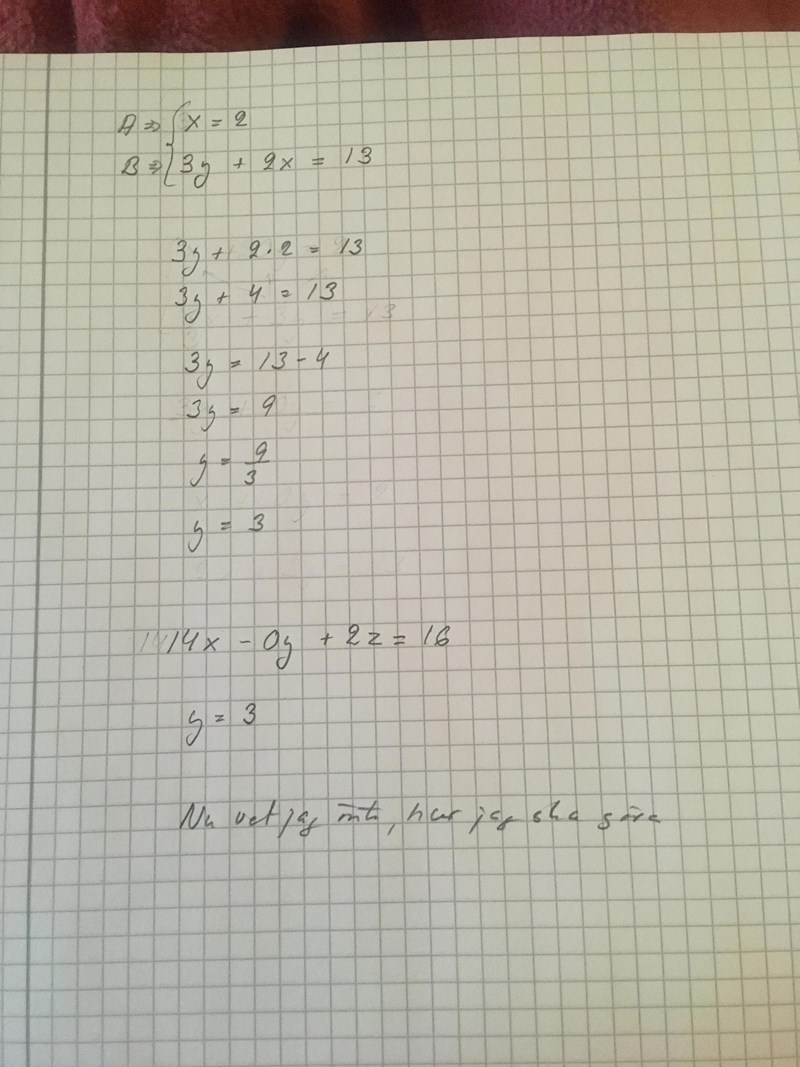
Ekvation a) har bara två obekanta för x=2 är ju redan känd
Då återstår:
3y+4=13...å då är y=3
Då återstår:
2z-3+8=3...å då är z=-1