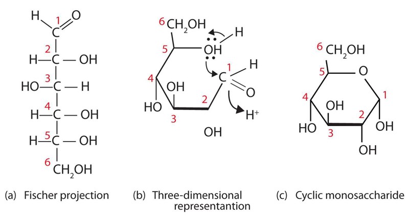
Nukleofil attack hos glukos
I glukos kan ju syret i OH gruppen på kol nr 5 göra en nukleofil attack på kol nummer 1. Det betyder väl att O "ger" elektroner till kol 1. Kol 1 sitter bundet till ett syre med dubbelbindning, som efter attacken istället blir en enkelbindning. Om det nu är så att syret från OH gruppen binder till kol 1 med sina egna elektroner, vad händer då med elektronerna hos kol 1 som fanns i dubbelbindningen? Har kol 1 bara massa lösa elektroner då? Eller tar syret med sig båda elektronerna i bindningen?
Och vad händer med vätet som var bundet till syret vid kol 5?
Pratar du om en reaktion inom samma molekyl, eller mellan två olika molekyler?
Kolhydrater med fler än fyra kolatomer förekommer framför allt i ringformen. Ringformen är stabil, då ringen är tillräckligt stor så att inte blir någon spänning i ringen - som finns mindre ringar med tre eller fyra kol (där är vinklarna mellan kolen mindre än de ideala, och förenklat kan man säga att elektronerna vill ha mer plats och därför öppnas dessa mindre ringar enklare än de sluts). I ringformen är dessutom aldehyd- eller ketogruppen omvandlade till en mindre reaktiv form.
Ta en titt på reaktionsmekanismen för ringslutningen av glukos nedan, så ser du nog vad som sker.

Om du fastnar eller vill fråga mer om detaljer får du gärna återkomma här i tråden så hjälper vi till.