Numerical differentiation
Kan någon förklara kanske med bild vad texten innebär eller måste jag läsa på om Taylor expansions och gränsvärde. Jag vet först och främst inte vad C är. Vad betyder C^n[a,b]. Vad betyder f^(n+1) liksom är det den n:te derivatan eller n:te +1 integralen? Vart kommer epsilon ifrån, epsilon ligger i alla fall i det stängda intervallet.
Edit: Det här är för programmeringen också

Satsen säger att kan approximeras bra med ett polynom i närheten av punkten (punkten är fixt och förutbestämd). Det "bäst" approximerande polynomet av grad ges av formeln .
Approximationsfelet uttrycks m.h.a. formeln i satsen. (Denna formel kallas för resttermen i Lagrange form)
betyder att funktionen är kontinuerlig på det slutna intervallet
betyder att funktionen är (minst) -gånger deriverbar och själva funktionen samt dess derivator upp till ordningen (minst) är kontinuerliga på det slutna intervallet
betecknar :a derivatan
Det finns inget epsilon i satsen. Däremot finns det ett xi, , som ligger någonstans mellan och . Man vet inget närmare om var exakt ligger, bara att den är i det öppna intervallet mellan och . Man kan spåra ursprunget av till medelvärdessatsen som i sig säger att det finns något , men inte var exakt den finns.
Det finns två felaktiga/olyckliga beteckningar i satsen:
- På första raden ska det inte stå utan .
- I formeln för resttermen står det , men för tydlighetens skull vore det bättre om det stod
LuMa07 skrev:Satsen säger att kan approximeras bra med ett polynom i närheten av punkten (punkten är fixt och förutbestämd). Det "bäst" approximerande polynomet av grad ges av formeln .
Approximationsfelet uttrycks m.h.a. formeln i satsen. (Denna formel kallas för resttermen i Lagrange form)
betyder att funktionen är kontinuerlig på det slutna intervallet
betyder att funktionen är (minst) -gånger deriverbar och själva funktionen samt dess derivator upp till ordningen (minst) är kontinuerliga på det slutna intervallet
betecknar :a derivatan
Det finns inget epsilon i satsen. Däremot finns det ett xi, , som ligger någonstans mellan och . Man vet inget närmare om var exakt ligger, bara att den är i det öppna intervallet mellan och . Man kan spåra ursprunget av till medelvärdessatsen som i sig säger att det finns något , men inte var exakt den finns.
Det finns två felaktiga/olyckliga beteckningar i satsen:
- På första raden ska det inte stå utan .
- I formeln för resttermen står det , men för tydlighetens skull vore det bättre om det stod
mhm, tack så hemskt mycket, din förklaring hjälper jättemycket faktiskt. Det låter ändå det lite som att jag måste läsa på om medelvärdessatsen för liksom var kommer xi ifrån då och hur hamnade den i ekvationen för restterm. Eller måste jag ens veta det? Asså är det bättre om jag kommer ihåg funktionerna istället, istället för att alltid veta ursprunget?
Note: Jag tyckte också det här (f∈C[a,b]) var ett konstigt sätt att skriva att den är kontinuerlig på intervallet. De är så nära varandra att jag nästan trodde det var gånger, sen så var det också kommatecken emellan och sen så stod det "on [a,b]" så de hade väl nästan bara kunnat skriva "f∈C, f∈C^2 on [a,b]".
Ska också komma ihåg formeln för resttermen i lagrange form. Men vad är det egentligen som är lagrange form?
Laguna skrev:


Yoo den var ändå hyfsat förståelig även för mig dock ett par poängteringar/frågor:
0. Det anger avvikelse för Taylorutveckling.
1. de använda [a,x] och inte [a,b] vilket var lite förvirrande
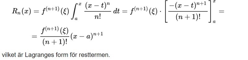
2. Hur fick de den primitiva funktionen till t-x. t är ju våran variabel men varför x och varför -x.
3. Jag förstår inte riktigt hur de integrerar (x-t) så om någon hade kunnat visat det hade jag uppskattat det. Jag har glömt det dära med inre derivatan och sånt. Jag tror det var inre derivatan går icke deriverade (men sen kan man ha typ en miljon olika inre derivator och massa substitutioner).
4. Observation så f^(n+1)((x)) är en funktion av xi(x) och xi är något tall i vårat gränsvärde [a,x] eller då [a,b]. Vad måste jag veta om xi egentligen och medelvärdessatsen?
5. f^(n+1) innebär att den är deriverbar n+1 gånger på intervallet [a,b]. typ fn(x)=e^x betyder att om vi deriverar n gånger så är det fortfarande lika med ex.
6. Hur bestämmer jag vad jag ska ha för övre gräns/undre gräns eller övertänker jag? Jag såg att det står något om det på exemplet med ex. Jaha nej den delar upp problemet/resten i två delar och sen bestämmer vad övre gränsen är för båda delarna och sen lägger ihop de för att få totala resttermen.
Man kan sedan använda olikheter för att lösa vad xi är eller i.a.f funktionen höjt till xi
7. Taylorutveckling där det står fk är samma funktion, så om funktionen är f=ex så gäller den för båda (kanske verkar jätte uppenbart för er men jag måste skriva ner det).
Förstod inte vad som hände här
