4
svar
105
visningar
Numerisk derivering
Hej!
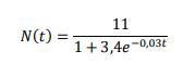
Jag skulle verkligen behöva hjälp med hur man löser denna uppgift m.h.a numerisk derivering (det ska stå 70 istället för t):

Tack på förhand!! :)
Är det du vill beräkna, alltså derivatans värde i punkten där t=70?
Ja precis! :) Själva uppgiften är:

70 kanske är fel tom! :)
Aha! Ja, det låter som N'(70). Jag vet inte exakt hur numerisk derivering presenteras, det kan göras på många sätt. Men du skulle kunna ställa upp derivatans definition, med t=70, och sen sätta in små värden på h.
Okej! Då testar jag det. Tack!