2
svar
186
visningar
Rambo behöver inte mer hjälp
Numerisk metod differentialekvation matlab
Halloj har denna uppgift där jag alltså ska lösa en differntialekvation i matlab:
Detta är lösningen och jag förstår allt fram till det som jag har struckit under i rött:

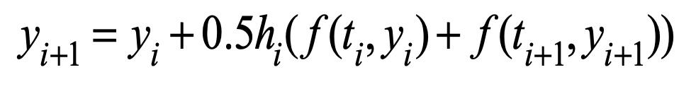
Där ska ju trapetsmetoden vara tänker jag och trapetsmetoden ser ju ut såhär:
Att de två senare termerna är negativa gör mig förvirrad. Nån som är med på noterna här? Tack på förhand.