1
svar
77
visningar
bambi_kth behöver inte mer hjälp
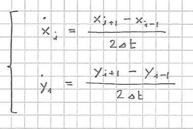
Numerisk metod för derivering
Hej!
Jag undrar vad den här deriveringmetoden kallas:

Man säger att man appoximerar derivatan med den centrala differenskvoten (med steglängd delta t)