Numeriska metoder, eulers metod bestäm en övre gräns för h

d = 75m
vM = 25 m/s
f(x) = x/3 för 0<x<75 och för 75<x är f = 25 m/s

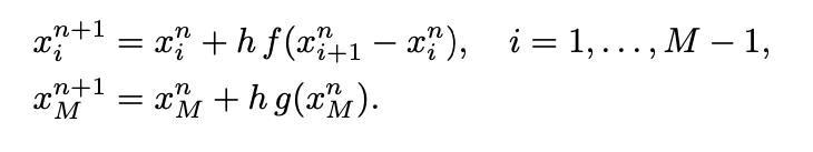
Här betecknar ^n Euler-approximationen efter n steg, dvs. en approximation av (), där = n*h.
0< t <40s


Jag vet inte hur jag sk börja. Jag har redan plottat f i mat lab för alla xi men nu vet jag inte riktigt hur jag ska göra det som står ovan
Börja med att lägga in bilden här.
Smaragdalena skrev:Börja med att lägga in bilden här.
Det finns ingen bild. All information för att lösa uppgiften är given
Einstein Euler skrev:Smaragdalena skrev:Börja med att lägga in bilden här.
Det finns ingen bild. All information för att lösa uppgiften är given
Jo, du har ju skrivit att du har plottat:
Jag vet inte hur jag sk börja. Jag har redan plottat f i mat lab för alla xi men nu vet jag inte riktigt hur jag ska göra det som står ovan
Det är den bilden vi behöver se.
Smaragdalena skrev:Einstein Euler skrev:Smaragdalena skrev:Börja med att lägga in bilden här.
Det finns ingen bild. All information för att lösa uppgiften är given
Jo, du har ju skrivit att du har plottat:
Jag vet inte hur jag sk börja. Jag har redan plottat f i mat lab för alla xi men nu vet jag inte riktigt hur jag ska göra det som står ovan
Det är den bilden vi behöver se.
Nej, det behöver du inte, den är helt irrelevant för den här uppgiften. Vilken steglängd på h tänkte du att jag skulle ge bilden för? Jag vet att man kan testa sig fram genom att sätta in olika värden på h och kommer då fram till att h = 40/13 samt n = 13 är den övre gräns för tidssteget h sådan att det är säkert att ^n>^n, men jag har ingen aning hur detta ska visas endast med papper och penna. Här har jag plottat för n=1000 och därmed h=40/1000=0,04

För de som är intresserade är mat lab koden till vänster och plotten till höger, men återigen detta är irrelevant för den här uppgiften
Då missförstod jag vad det var bilden skulle visa.
Jag har fortfarande ingen aning om hur denna uppgift ska lösas
Jag har fortfarande ingen aning om hur denna uppgift ska lösas