Numeriska metoder, polynominterpolation

Hur kommer man fram till vilken funktion som interpoleras?
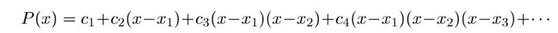
Jag kan newtons interpolationsformel:
, men hur kommer man med hjälp av den fram till ovan?
Här skulle jag säga att det är lättast att prova! Funktionen som interpoleras ska uppfylla att alla x-värden ger det sökta y-värdet för vardera punkt. Med hjälp av matrisekvationen vi fått vet vi att f(1) = 1, och f(10) = 9. Vilken funktion uppfyller detta?
Om jag ger dig en funktion, ett par datapunkter och ber dig forma ett tredje gradens Newton-polynom baserat på detta; kan du göra det?
Om Ja, då borde du kunna svara på frågan genom att förstå vad ekvationssystemet beskriver och helt enkelt kontrollera vilken av dina 6 funktioner passar.
Om Nej, läs här: The Newton polynomial Interpolation.