2
svar
93
visningar
questionable1 behöver inte mer hjälp
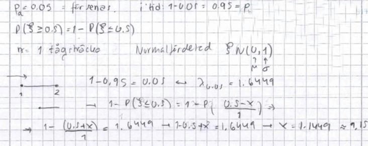
Oberoende sträckor för ett tåg
Här har jag ännu en uppgift inom sannolikhetslära som jag har försökt att lösa utan framgång. Behöver hjälp :)


Normalfördelning kommer inte in här. Sannolikheten att tåget klarar en sträcka är 0,95. Att den klarar n sträckor är då 0,95^n.