1
svar
100
visningar
Observerat stickprov
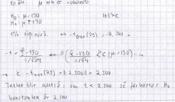
Så, här har vi en uppgift med min lösning under, vilket jag vet är fel. Behöver verkligen hjälp här


Ingen som kan hjälpa mig med denna?