ODE, fråga om konstanter



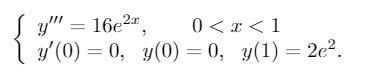
Enligt denna lösningen så kommer dom fram till att C1 har en faktor 1/2 framför sig från integreringen.
När jag löst andra liknande uppgifter så har man tolkat C1 med faktor 1/2 som endast C1.
Man får ju olika C1 i systemet sen beroende på vad man väljer.
Vad är rätt ?
Du har ju C1 med i både y'' och y' och y, så faktorn 1/2 kan du inte "ta bort" då det påverkar på fler ställen. Då funkar inte ekvationssystemet.
Kanske har du i tidigare fall bara haft motsvarande konstant på ett ställe? Då skull man ju kunna tänka sig att kalla den nåt annat där faktorn 1/2 ingår, men det funkar inte här.
Pelle skrev:Du har ju C1 med i både y'' och y' och y, så faktorn 1/2 kan du inte "ta bort" då det påverkar på fler ställen. Då funkar inte ekvationssystemet.
Kanske har du i tidigare fall bara haft motsvarande konstant på ett ställe? Då skull man ju kunna tänka sig att kalla den nåt annat där faktorn 1/2 ingår, men det funkar inte här.
Är inte riktigt med helt än.
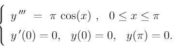
Om vi istället tittar på en annan liknande uppgift


integrerar båda led

Bilden ovan så skriver dom om c1 * 1/2 som c1

Jag antar att det i detta fall inte spelar någon roll då begynnelsevillkoret i detta fall 0, eliminerar c1-termen.
Skall man vara på säkra sidan och aldrig förenkla/ta bort faktorer av c1,c2,c3 osv?
I ditt första fall hade du en inre derivata som var 2. I ditt senaste fall har du inre derivata = 1. Det är det som gör skillnaden.
Nja, det viktiga är ju att du i slutändan får rätt faktor framför x^2 i första exemplet.
Det går döpa om till tex som då får värdet 6 (istället för 12). Det funkar ju eftersom C2 och C3 faller ut direkt.
Jag skulle dock inte rekommendera att "döpa om" till som Wolframalpha verkar göra. Det känns ologiskt.
Men som sagt, det viktiga är ju att lösningen blir rätt (vad du kallar dina konstanter kan ju kvitta)