6 svar
302 visningar

Oklar primitiv funktion

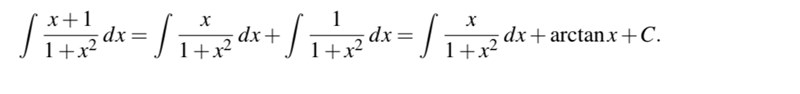
Varför är arctanx primitiva funktionen av 1/(1+x^2)? 
Tack på förhand!

Qetsiyah 6616
Postad: 20 maj 2020 09:23 Redigerad: 20 maj 2020 09:23

Det kan du försöka härleda själv, eller googla upp! (Den är ofta använd så lägg den på minnet)

foppa 280 – Fd. Medlem
Postad: 20 maj 2020 11:07 Redigerad: 20 maj 2020 11:08

Det här med "varför" brukar i såna här fall helt enkelt handla om "matematiken säger det, det blir så om man räknar ut det". Så, som Qetsiyah nämnde så är det lämpligast att kolla upp härledningen själv och kolla i lugn och ro.

För att förenkla sökandet kan man söka på "derivation arctan derivative", vilket förstås kommer visa dig fram till att derivatan av arctan(x) är 1/(1+x^2). Där ser man det samband som gör att arctan(x) då är primitiva funktionen till 1/(1+x^2).

Exempel på länk är https://proofwiki.org/wiki/Derivative_of_Arctangent_Function

Dr. G 9633
Postad: 20 maj 2020 12:57

Om

y=arctanxy=\arctan x

så ta tangens av leden

tany=x\tan y = x

Derivera (implicit) m.a.p x

(1+tan2y)·dydx=dxdx=1 (1+\tan^2y)\cdot \dfrac{dy}{dx} = \dfrac{dx}{dx}=1

Förenkla

dydx=11+tan2y=11+x2 \dfrac{dy}{dx}= \dfrac{1}{1+\tan^2y}=\dfrac{1}{1+x^2}

dioid 185
Postad: 20 maj 2020 20:03

För att arctan(x)=i2(ln(1-ix)-ln(1+ix)) under vissa förutsättningar :)

Qetsiyah 6616
Postad: 20 maj 2020 20:59

Ursäkta vad är det för intressant dioid?

dioid 185
Postad: 20 maj 2020 21:00

Jag var bara lite fånig, man kan tänka sig att använda "standardmetoden" med partialbråksuppdelning (över komplexa tal) men då måste man identifiera arctan med en summa av logaritmer (vilket förstås gäller eftersom exponentialfunktionen beskriver alla trigonometriska funktioner) och brasklappen är grenval.

Svara
Close