Olika hastighet, var möts riddarna?
Hej! Jag och mina vänner har suttit fast på en fråga lite för länge. Frågan infogas nedan (35). Vi får rätt vid användning av en kinematisk formel, men jag förstår verkligen inte hur. Hade någon kunnat förklara? Stort tack på förhand till den hjälte som hjälper oss!


Eftersom bilderna ligger åt fel håll nöjer jag mig att läsa frågan och skissa på en lösning
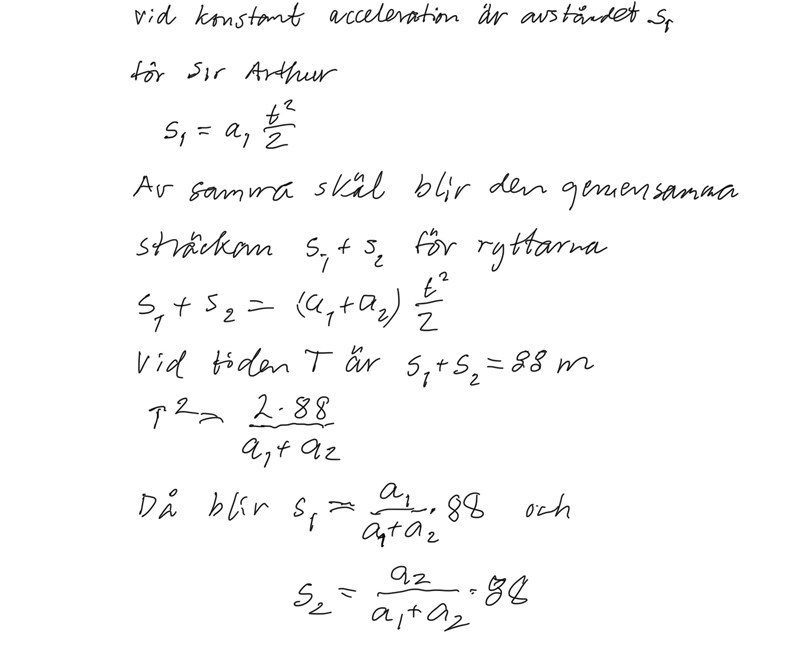
Vi använder rörelseekvationerna s = s0 +v0t+ 0,5at2 för de två riddarna, när de är på samma punkt kolliderar dom.
Utgå från Gs startplats och definiera positiv riktning i Gs rörelseriktning (Du har väl ritat en bild??)
Då är Gs position, jag kallar den g (v0 = 0, s0= 0 )
g = 0+0t + 0,5*0,3*t2
As position kallar jag b (s0= 88, v0 = 0)
b = 88 + 0t - 0,5*0,2t2
När dom kolliderar är g=b och det är samma t, så genom att lösa ekvationerna så får du fram svaret!
Är det ngt som är oklart så fråga igen
Tack för hjälpen!
