offan123 behöver inte mer hjälp
offan123 3072
Postad: 27 dec 2022 14:55

Olika sätt att lösa

Jag valde att lösa integralen genom att förenkla och multiplicera in x. Men går det att lösa på ex partiell integration eller variabelbyte? (Dock har jag försökt med de två metoderna men kunde gå vidare)

Ture 11067 – Livehjälpare
Postad: 27 dec 2022 15:19 Redigerad: 27 dec 2022 15:20

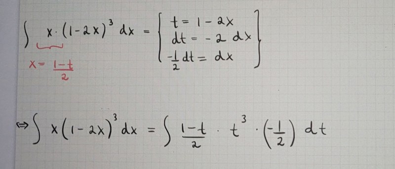
substitution borde gå bra

t = 1-2x, 

-dt/2 = dx

x = (1-t)/2

Det kanske blir lite mindre räknande

PI går säkert också men tveksamt om du tjänar ngt på det.

offan123 3072
Postad: 27 dec 2022 15:57

Hur blir -1/2 dt?

Ture 11067 – Livehjälpare
Postad: 27 dec 2022 16:08

om t = 1-2x

är 

dt/dx = -2

dt = -2dx

och dela bägge led med -2 

dx = -dt/2

Yngve 42396
Postad: 27 dec 2022 16:12
offan123 skrev:

Hur blir -1/2 dt?

På samma sätt som tidigare:

När du sätter t = 1-2x så definierar du en funktion t av x enligt t(x) = 1-2x. 

Då blir derivatan av t med avseende på x lika med dt/dx = -2, vilket betyder att dt = -2 dx 

offan123 3072
Postad: 27 dec 2022 18:57

Blev nog lite knasigt här. Jag tror jag valt it fel f(t). Vad händer med x:et I x*(1-2x)^3?

Yngve 42396
Postad: 27 dec 2022 19:53
offan123 skrev:

Blev nog lite knasigt här. Jag tror jag valt it fel f(t). Vad händer med x:et I x*(1-2x)^3?

Om t=1-2xt=1-2x så är x=1-t2x=\frac{1-t}{2}.

Därför blir x(1-2x)3=1-t2·t3x(1-2x)^3=\frac{1-t}{2}\cdot t^3

offan123 3072
Postad: 27 dec 2022 20:19
Yngve skrev:
offan123 skrev:

Blev nog lite knasigt här. Jag tror jag valt it fel f(t). Vad händer med x:et I x*(1-2x)^3?

Om t=1-2xt=1-2x så är x=1-t2x=\frac{1-t}{2}.

Därför blir x(1-2x)3=1-t2·t3x(1-2x)^3=\frac{1-t}{2}\cdot t^3

Borde inte det även inkludera (-1/2) också?

Yngve 42396
Postad: 27 dec 2022 20:56
offan123 skrev:
Borde inte det även inkludera (-1/2) också?

Bej, den faktorn kommer från att dx = -dt/2.

Svara
Close