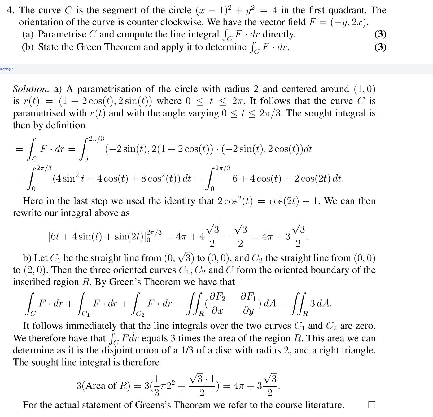
Olika svar när jag använder Greens och parametisering
Hej!
Jag får olika svar i a) och b) när man såklart ska få samma svar. a) har jag lyckats få samma svar som facit, men inte b). Så här har jag gjort:

Det ser ut som att ditt område inte stämmer, ckelns centrum är inte i origo.
Jag har tagit med det i parametiseringen genom att lägga till +1, men hur kommer det med i själva integralen?
Ja, den bild du ritat har jag svårt att förstå. Du ska ju ha ett område i första kvadranten som begränsad av cirkelsegmentet samt två linjestycken?
Ahaa, bilden var bara för att hitta värden på sin(roten ur 3/2) :)
Förstår att cirkeln är centrerad kring (1,0) med radie 2 och att området är den delen som finns i första kvadranten
Ok, men din integral går över en cirkelsektor. De två linjesegmenten går längs x och y-axlarna. Du missar att integrera över en triangel nere i vänstra hörnet.
Just det, tack! Så när man får ett krångligt område och integranden är ett tal, kanske det är lättare att räkna arean på annat sätt (som i facit)?
Ja, precis. Jag tänkte just föreslå det. Nu ska jag sova.
Tack för hjälpen :) God natt!