Olika volymer på skalmetoden och skivmetoden


Jag förstår inte riktigt varför volymerna skiljer åt. Är det för att jag beräknar någon annan sorts volym när jag beräknar med skalmetoden?
Jag misstänker att det är något liknande? Om det är rätt förstår jag inte varför det uppstår.
Helt rätt analys.
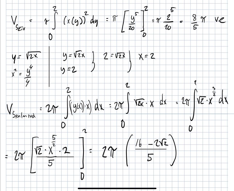
Med skalmetoden beräknar du volymen av området under grafen.
Detta eftersom du anger skalens höjd till istället för
Yngve skrev:Helt rätt analys.
Med skalmetoden beräknar du volymen av området under grafen.
Detta eftersom du anger skalens höjd till istället för
Så med skivmetoden är det egentligen (Radie)(Radie), medan skalmetoden är det (Höjd)(Radie)?
Skulle jag inte också kunnat beräkna volymen på en cylinder med radien 2 tagit ut differensen mellan min beräknade skalmetod och cylindern?
Du skulle lika gärna kunna beräkna "den röda volymen" direkt med skalmetoden. Du skulle lika gärna kunnat beräkna "den ljusgröna volymen" med skivmetoden. Allt hänger på hur du väljer överfunktion, underfunktion och integrationsgränser.
Mattezel skrev:
Så med skivmetoden är det egentligen (Radie)(Radie), medan skalmetoden är det (Höjd)(Radie)?
Jag är osäker på vad du menar med din fråga.
- Skivmetoden går ut på att summera volymerna av ett stort antal väldigt tunna skivor som ligger staplade på varandra längs med rotationsaxeln. I detta fallet är det cirkelskivor, vilket betyder att deras area är , där radien varierar med .
- Skalmetoden går ut på att summera volymerna av ett stort antal väldigt tunna skal som ligger utanpå varandra, sett från rotationsaxeln. I detta fallet är det cirkulärcylindriska skal, vilket innebär att deras area är , där radien är vstpndet från rotationsaxeln och höjden varierar med .
Skulle jag inte också kunnat beräkna volymen på en cylinder med radien 2 tagit ut differensen mellan min beräknade skalmetod och cylindern?
Jo, det fungerar utmärkt och är ibland den enklaste vägen.