9 svar
497 visningar
AlfieNator behöver inte mer hjälp
AlfieNator 7
Postad: 1 okt 2023 14:52

Olikhet med teckentabell!

Hej! Jag svårt att förstå hur jag ska tänka när jag ska lösa olikheter av sorten 1-2xx-35(x-3)(x+3), jag börjar med att flytta över hela den högra termen men sedan fastnar jag? ska jag försöka få gemensam nämnare?, om jag ska få gemensam nämnare måste jag göra hela "krossmultiplikationen"? Jag är medveten om att jag ska försöka få rötter som jag sedan stoppar in i en teckentabell och kollar!

Tacksam för svar!

Laguna Online 32003
Postad: 1 okt 2023 15:12

2x/(x-3) + 5/((x-3)(x+3)) skulle jag förenkla till (2x(x+3) + 5)/((x-3)(x+3)).

AlfieNator 7
Postad: 2 okt 2023 13:42

ja precis, men hur gör jag med " 1 " som står först i VL, ska den också flyttas över och hur gör jag då?, förlänga och sedan förkorta?

Laguna Online 32003
Postad: 2 okt 2023 14:17

Vad har du fått hittills?

AlfieNator 7
Postad: 2 okt 2023 15:19

jag började med att förlänga ettan så den får samma nämnare innan jag flyttade över hela termen till HL. Om jag går vidare nu, så antar jag att jag behöver förlänga med (X+3) för att få gemensam nämnare. ?

MrPotatohead 8107 – Moderator
Postad: 2 okt 2023 15:22

Ja.

AlfieNator 7
Postad: 2 okt 2023 15:32

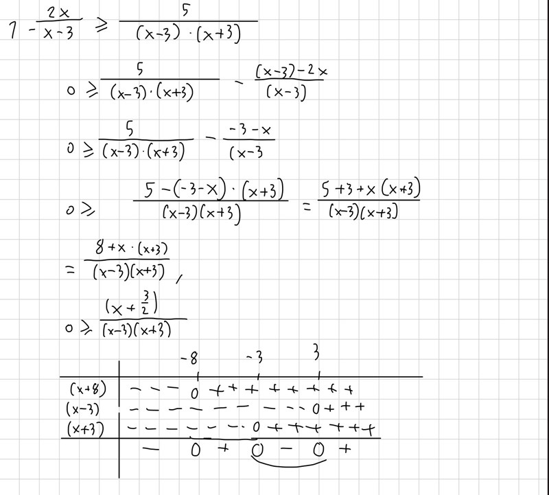
då har jag kommit såhär långt. Men hur vet jag vilka termer jag ska använda i min teckentabell nu? (X-3) och (X+3) är självklara, men hur ska jag göra i täljaren? Förenkla den och sedan hitta rötter,? För testade detta och blev fel

MrPotatohead 8107 – Moderator
Postad: 2 okt 2023 16:24

Har nog blivit något fel i din förenkling av täljaren. 

Först har vi: 

x-3-2x = -x-3

Sedan får vi: 

5-(-x-3)*(x+3) 

Kan du lösa den?

AlfieNator 7
Postad: 2 okt 2023 22:02

gjorde såhär! Om vi sedan kollar i tabellen så ska vi se när x är mindre eller lika med 0, det är den mellan -3 och 3 vilket är rätt svar på uppgiften. Men det är den även vid -8 och innan? Antar att jag gjort fel någonstans

MrPotatohead 8107 – Moderator
Postad: 2 okt 2023 23:36

Du gjorde fel redan i förenklingen av täljaren. 

Tänk på prioriteringsreglerna när du beräknar: 

5-(-x-3)*(x+3) 

Du ska först multiplicera ihop parenteserna. 

Resten av uträkningen är korrekt metod. 

Svara
Close