2
svar
101
visningar
Annanspizza behöver inte mer hjälp
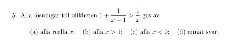
Olikhetens lösningar
Hej!
Jag tycker svaret ska vara b) men facit påstår d).
Hur kan detta stämma?

Hur har du kommit till b)? Jag får att d) stämmer.
Prova x = -1.