Olikheter
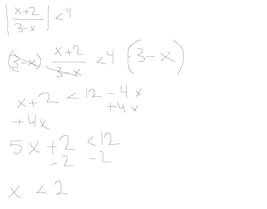
Hej, jag har denna uppgift jag har löst på detta vis och undrar om man får tänka såhär.


Får man tänka på detta vis eller är det inte tillåtet? Och sedan samma metod fast med > -4. Är detta tillåtet? Jag minns ej, tack
Nej så kan du inte göra.
Det är två saker som är fel.
- Du kan inte bara ta bort absolutbelopptecknen som står runt vämsterledet utan att hantera de olika fall som de representerar.
- När du multiplicerar med 3-x så måste du hantera fallet att 3-x < 0 separat eftersom.du då multiplicerar med ett negativt tal. Det innebär att du måste vända på olikhetstecknet för att inte ändra betydelsen av olikheten. Exempel 2 < 3 innebär att -2 > -3, inte att -2 < -3.
Förslag på tillvägagångssätt:
Ta reda på "brytpunkterna", dvs de punkter där uttrycket innanför absolutbelopptecknet byter tecken. Dessa brytpunkter delar in definitionsmängden i olika områden. Dela upp och lös olikheten separat i dessa områden.
Exempel: Täljaren x+2 är positiv då x + 2 > 0, dvs då x > -2 och negativ då x+2 < 0, dvs då x < -2.
Gör samma sak för.nämnaren.
Det ger dig två "brytpunkter" och alltså tre områden/intervall som du kan dela in olikheten i. Vänsterledet kan sedan skrivas om utan absolutbelopptecken i vart och ett av dessa områden.
Tips: Ett bråk är större än 0 då både täljarr och nämnare har samma tecken och mindre än 0 då täljare och nämnare har olika tecken.
Kommer du vidare då?
Hej igen, tack för svar
Här har jag ändrat tecken vid negativ, x<2 är fortfarande korrekt svar, men 14/3 > x är fel. Det ska vara 14/3 < x som är rätt.

På redovisningen nedan har jag inte ändrat tecken men det blir rätt svar. får jag rätt svar av ren slump eller kan man också tänka såhär?

Du behöver förklara vad du menar med fall 1 och fall 2 och vilka förutsättningar som gäller i de båda fallen.
Du behöver förklara varför du kan ta bort absolutbelopptecknen och tydligare förklara varför olikheterna kommer att se ut just som de gör när du tar bort absolutbelopptecknen.
Ta inte för stora tankesteg i huvudet utan beskriv i din lösning steg för steg vad du gör. Du kommer då att kraftigt minska risken för onödiga tankevurpor.
Jag rekommenderar att du följer det förslag på tillvägagångssätt jag gav i mitt förra svar.
EDIT - LaTex krånglar något oerhört i detta inlägg. Varje gång jag går in och rättar något så hår något annat sönder. Det är oliheter typ x<-2 som automatiskt byts till x<> när jag går in i redigeringsläge. Varje gång jag korrigerar så går det sönder på ett annat ställe.
Fruktansvärt irriterande.
==========
Så här kan början på en lösning se ut:
Vi vill skriva om olikheten utan absolutbelopptecken och vi behöver därför ta reda på förutsättningarna för att kunna göra det.
Vi vet att
då
och att
då < .
Det betyder att
då
och att
då <
Ett bråk är negativt då täljare och nämnare har olika tecken och positivt då täljare och nämnare har samma tecken.
Vi behöver därför ta reda på när dessa fall föreligger.
Täljaren är negativ då < , dvs då < och positiv då , dvs då
Nämnaren är negativ då < , dvs då och positiv då , dvs då < .
Vi har alltså tre intressanta områden:
- < . Här är täljaren negativ och nämnaren positiv, vilket innebär att bråket är negativt. Vi har då att och vår olikhet kan då skrivas < . Eftersom nämnaren är positiv kan vi multiplicera med den utan att ändra riktning på olikhetstecknet och vi får då olikheten < att lösa. Notera dock att denna olikhet endast gäller i intervallet < . Det kommer eventuellt att begränsa lösningsmängden.
- < < . Här är både täljare och nämnare positiva, vilket innebär att bråket är positivt. Vi har då att och vår olikhet kan då skrivas < . Eftersom nämnaren är positiv kan vi multiplicera med den utan att ändra riktning på olikhetstecknet och vi får då olikheten < att lösa. Notera dock att denna olikhet endast gäller i intervallet < < . Det kommer eventuellt att begränsa lösningsmängden.
- . Här är täljaren positiv och nämnaren negativ, vilket innebär att bråket är negativt. Vi har då att och vår olikhet kan då skrivas < . Eftersom nämnaren är negativ måste vi ändra riktning på olikhetstecknet när vi multiplicerar med den och vi får då olikheten att lösa. Notera dock att denna olikhet endast gäller i intervallet . Det kommer eventuellt att begränsa lösningsmängden.
Hantera nu de två återstående fallen och separat.
Yngve skrev:EDIT - LaTex krånglar något oerhört i detta inlägg. Varje gång jag går in och rättar något så hår något annat sönder. Det är oliheter typ x<-2 som automatiskt byts till x<> när jag går in i redigeringsläge. Varje gång jag korrigerar så går det sönder på ett annat ställe.
Fruktansvärt irriterande.
==========
Så här kan början på en lösning se ut:
Vi vill skriva om olikheten utan absolutbelopptecken och vi behöver därför ta reda på förutsättningarna för att kunna göra det.
Vi vet att
då
och att
då < .
Det betyder att
då
och att
då <
Ett bråk är negativt då täljare och nämnare har olika tecken och positivt då täljare och nämnare har samma tecken.
Vi behöver därför ta reda på när dessa fall föreligger.
Täljaren är negativ då < , dvs då < och positiv då , dvs då
Nämnaren är negativ då < , dvs då och positiv då , dvs då < .
Vi har alltså tre intressanta områden:
- < . Här är täljaren negativ och nämnaren positiv, vilket innebär att bråket är negativt. Vi har då att och vår olikhet kan då skrivas < . Eftersom nämnaren är positiv kan vi multiplicera med den utan att ändra riktning på olikhetstecknet och vi får då olikheten < att lösa. Notera dock att denna olikhet endast gäller i intervallet < . Det kommer eventuellt att begränsa lösningsmängden.
- < < . Här är både täljare och nämnare positiva, vilket innebär att bråket är positivt. Vi har då att och vår olikhet kan då skrivas < . Eftersom nämnaren är positiv kan vi multiplicera med den utan att ändra riktning på olikhetstecknet och vi får då olikheten < att lösa. Notera dock att denna olikhet endast gäller i intervallet < < . Det kommer eventuellt att begränsa lösningsmängden.
- . Här är täljaren positiv och nämnaren negativ, vilket innebär att bråket är negativt. Vi har då att och vår olikhet kan då skrivas < . Eftersom nämnaren är negativ måste vi ändra riktning på olikhetstecknet när vi multiplicerar med den och vi får då olikheten att lösa. Notera dock att denna olikhet endast gäller i intervallet . Det kommer eventuellt att begränsa lösningsmängden.
Hantera nu de två återstående fallen och separat.
Tack så mycket för ditt svar, du är anledningen till varför jag inte kuggar