1
svar
97
visningar
M (a) * x behöver inte mer hjälp
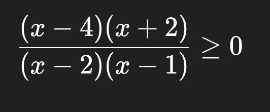
Olikheter



Vi vill att x ska ge att funktionen ska vara större eller lika med noll.
Täljare och nämnare måste ha samma tecken. Antingen täljare och nämnare positiva (på något sätt) ELLER täljare och nämnare negativa (på något sätt).