Olikheter med division

Hej, Hur löser man olikheter av dessa slag?
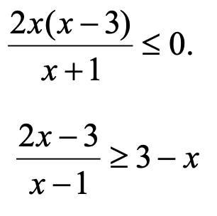
I den första uppgiften fick jag fram nollställena x=0 x=3 och x=-1, men hur ställer jag sedan upp olikheten? Hur ska man tänka?
Och i den andra, ska man flytta över 3-x till andra sidan och förlänga till gemensam nämnare och sedan göra som ovan? Eller hur tänker man där?
Tack på förhand!!
Gör en teckentabell över de olika uttrycken!
Nu kan du fylla i det sista fältet genom att se vad som händer i varje fall. så när x < -1 är uttrycket negativt.
Om du inte har en nolla i ena ledet, flytta om så att du får en nolla i ett led. :)
Tack!! och hur gör man på den andra?
Har förkortat den till (x(x-2))/(x-1) och fått ut nollställena x=1 x=0 och x=2
Teckentabellen blir så här:

Jag tycker att det borde ju bli att man ska beskriva det med en olikhet som definierar de positiva områdena, men detta är fel enligt facit som säger detta:
Hur går detta till?
Jag förstår inte vad det är du har förkortat och hur.
EDIT - Aha, nu flrstår jag vad du har gjort.
-----------
En annan metod är att istället börja med att dela upp olikheten i de två fallen och .
För vart och ett av dessa fall kan du sedan multiplicera olikheten med och sedan lösa dessa var för sig. Eftersom i ena fallet så måste du vända på olikhetstecknet där.
bibben skrev:Tack!! och hur gör man på den andra?
Har förkortat den till (x(x-2))/(x-1) och fått ut nollställena x=1 x=0 och x=2
Teckentabellen blir så här:
Jag tycker att det borde ju bli att man ska beskriva det med en olikhet som definierar de positiva områdena, men detta är fel enligt facit som säger detta:
Hur går detta till?
När du har gjort om uttrycket har du
Så du tänker rätt att det ska vara positivt men också inkludera när det är noll men gör färdigt tabellen så kanske det blir tydligare dvs när är hela uttrycket positiv och noll?