2
svar
46
visningar
Dkcre behöver inte mer hjälp
Oljeförbrukning, när tar oljan slut.
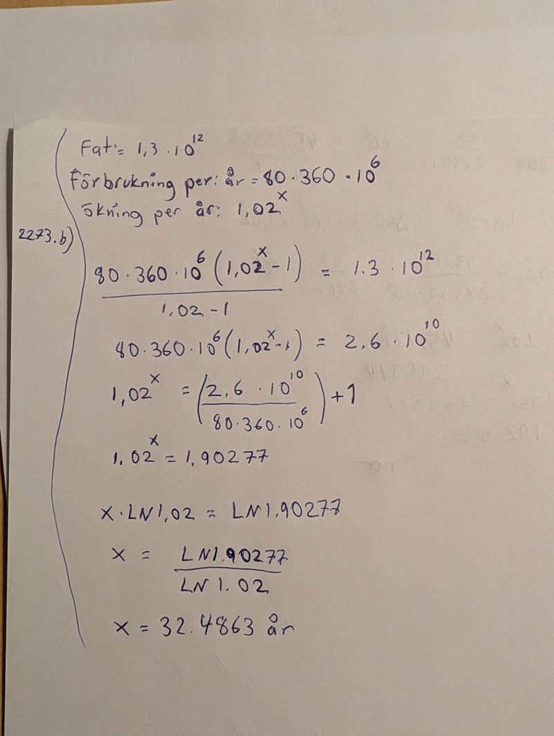
Hej jag undrar om min uträkning är korrekt på fråga 2273 b)
Det står att rätt svar är ca 30 men inom parantes 32. Mitt svar är 32.4863..


Ser bra ut. Hur många dagar är det på ett år?
(Ja, banker räknar med 360 för att det är delbart med 12)
Uppgiften har som värst 1 värdesiffra (i talet 80) så det är därför de svarar med 30.
Haha, oj, vilken miss. Jag var helt uppslukad av det här med grader osv 😅
Men då har jag förstått rätt och sådär, tack.