2
svar
158
visningar
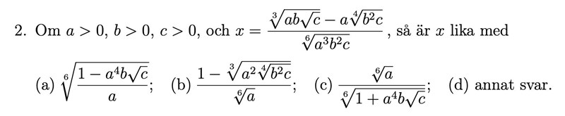
Om a>0, b>0 och c>0 så är x=?

c är rätt så testar om jag kan se att det blir rätt genom att sätta likhet mellan de:
Aej jag vet inte hur jag ska lösa denna
Det är inte tillåtet att ha flera trådar om samma fråga, eftersom det kan orsaka dubbelarbete och förvirring. Diskussionen fortsätter i den andra tråden, och denna tråd låses. /moderator
