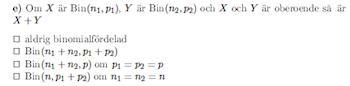
Om X är Bin(n1,p1) är Bin(n2,p2) och X och Y är oberoende så är X+Y........

Rätt svar är svarsalternativ 4(eller d) men jag har stött på att 3(eller c) är rätt svarsalternativ. Vad gäller?
Kan du skriv av uppgiften ord för ord? Mina gamla ögon klarar inte att tyda bilden du har lagt in.
Smaragdalena skrev:Kan du skriv av uppgiften ord för ord? Mina gamla ögon klarar inte att tyda bilden du har lagt in.
Hehe okej ;P
Om X är Bin(n1,p1) är Bin(n2,p2) och X och Y är oberoende så är X+Y
a) aldrig bin
b) Bin (n1+n2, p1+p2)
c) bin(n1+n2,p) om p1=p2=p
d) bin(n,p1+p2) om n1=n2=n
Om jag stirrar riktigt mycket ser det ut som att det saknas ett Y strax efter den första parentesen, stämmer det?
Om man tänker på en verklig situation där binomialfördelning gäller, så kan man resonera sig till svaret. Vem säger c, och vem säger d?
Laguna skrev:Om man tänker på en verklig situation där binomialfördelning gäller, så kan man resonera sig till svaret. Vem säger c, och vem säger d?
Har stött på att båda dom är rätt. Men kanske har blivit tryckfel då. Så vilken är det rätta svaret?