Omfångsrika problem: Flödeshastighet i en kanal
Hej jag har haft lite problem att lösa denna uppgift ett tag nu (se bild nedan). Jag tänkte först att dela upp diverse figurerna till lika stora delar (efter att ha delat dessa längs med mitten då symmetri gäller för samtliga figurer.) och sedan beräkna en area av varje del och där efter multiplicera dessa med en flödeshastighet som ökade linjärt(1.0m3/m) och sedan ta ett genomsnitt på dessa ( likt en integral). Detta fungerade uppenbarligen inte då jag fick ett mycket olikt värde till de andra delvis gjorda lösningarna på detta problem jag har sätt. Har även förstått att man ska använda sig av en integral med sambandet där x är avståndet till kanten för flödes hastigheten.
Men förstår inte riktigt hur förändringen på flödeshastigheten inkluderas?
Har nämligen sätt flera sätt att tolka denna uppgift där dubbelintegraler diskuteras (känns lite överkurs för matte 5) och sedan andra som använder sig av vanliga intergraler. skulle uppskatta hjälp med att tolka denna uppgift samt lite mer hur man ska tänka generellt med detta
Högst tacksam
(Frågan som diskuteras)

Det låter rimligt med integralen. Betrakta ett kort tidsintervall dt och ett kort längdintervall längs kanalen. Mängden vatten, dV, som flyter förbi är då
dV_x = ( dx * 3 * f(x) ) * dt.
dx = intervallets bas
3 = höjden på kanalen (vilket ger intevallarean dx * 3)
f(x) = flödet i intervallet där x ligger i "dx-intervallet"
Detta ger
dV_x/dt = dx * 3 * f(x)
för detta intervall och det återstår att "integrera längs kanalens bredd" för att få flödet för hel kanalen vilket ger
dV/dt = INT_0^3 3f(x) dx + INT_3^6 3f(3) dx
om vi antar att flödet på resterande bit av kanalen är densamma som i mitten.
Då f(0)=0.5 och f(3)=2.5 är f(x) = 0.5+2/3 x
I figur 2 ersätts 3 med en lämplig funktion, typ h(x)=3-x för vänstra delen av kanalen och h(x)=x-3 för högra delen.
I figur 3 blir det något liknande, fast uppdelad på delar.
Prova lite och så får vi se vad som händer.
Volymsflödet är en area gånger flödeshastigheten. Om den senare varierar över arean är det simplast att använda dubbelintegral.
Det svåra med att använda en enkelintegral istället är att flödeshastigheten är en funktion av både x och y för andra och tredje kanalen. Men! Vi kan integrera över en vertikal y-koordinat och använda medelvärdet på flödeshastigheten.
Börja med att utnyttja symmetri och dela kanalerna vertikalt på mitten. Du kan nu beräkna flöde genom horisontella strimlor med arean där bredden beskrivs olika beroende på kanal (för första kanalen har du t.ex. ). Summera sedan alla flöden med en integral:
Medelvärdet på flödeshastigheten genom strimlorna är alltid:
Tillägg: 10 maj 2022 13:32
Om du vill kan jag visa dig varför det fungerar att använda medelvärdet. En ledtråd om du vill härleda det själv är att titta på flödet genom en horisontell (rektangulär) strimla och se hur egenskaper hos den här typen av linjära funktion hjälper dig. Vi ska alltså visa att:
Oavsett bredd på strimlan är medelvärdet på flödeshastigheten detsamma.
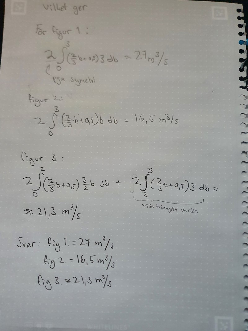
Tack till er båda för snabbt och hjälpsamt svar, tror jag har lyckats lösa den, behövdes en liten knuff för att få igång allt! Detta var så jag löste den:


Ser detta rimligt ut?
Det ser rimligt och rätt ut om du antar att flödet är 0.5 bara då x = 3 eller -3 (om origo är i mitten alltså). Det står "vid strandkanten" så det är inte en helt fel tolkning.
Jag antog något annat då det är mer verklighetstroget men kanske inte vad problemet handlar om. Otydligt beskrivet i uppgiften egentligen.
Ebola skrev:Det ser rimligt och rätt ut om du antar att flödet är 0.5 bara då x = 3 eller -3 (om origo är i mitten alltså). Det står "vid strandkanten" så det är inte en helt fel tolkning.
Jag antog något annat då det är mer verklighetstroget men kanske inte vad problemet handlar om. Otydligt beskrivet i uppgiften egentligen.
Ja ellerhur, har sätt flertalet olika tolkningar av denna uppgiften men jag är tillräckligt nöjd med svaret så tänker ta det som att jag har tolkat den rätt hah
Tack för eran hjälp