Omfångsrika problem matematik 5 (fysikfråga)
Hej, är fast på denna fråga: 
jag tänker att jag ska lösa ut t från uttrycken i y och sedan sätta in det i x som är detsamma som R vilket är det som söks. Sedan är det ju enkelt att laborera kring det. Problemet är bara att jag har två värden då jag heller inte vet vad maxhöjden y är. I fysikboken ser jag att det inte har med h i formel utan igår från att den skjut iväg ifrån origo och sätter y som minus höjden, alltså -2 i detta fall.
är det någon som kan hjälpa mig om det är rätt tänkt att göra så och isåfall hur ska jag få fram ett uttryck för t när jag inte vet y? Går det att ta att x och y beror på varandra? Har försökt med det också men får det inte att fungera
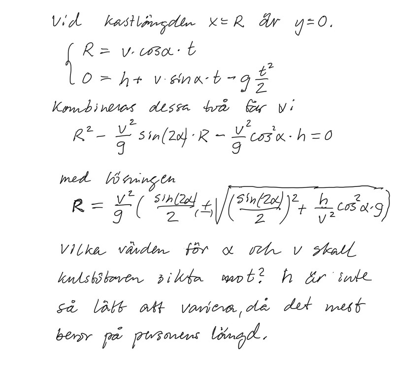
Har kommit såhär långt i ett utav mina göra att lösa ut t men är väldigt osäker på om det är rätt 
Efter man fått ett uttryck för vad R är (som beror på h, v, och alfa). Hur tar man det vidare och listat ut sambanden mellan R och dessa? Har listat ut att vid vinkeln=42 grader blir R störst (a’(vinkeln)=0). Men höjden och hastigheten är väll bara proportionella mot avståndet? Dvs ju större h, ju större R och samma med v. Tänker jag rätt?
Ja du tänker rätt.

