Omfångsrika problemsituationer matte 5 uppgift 19

Välkommen till PA!
Vad, mer specifikt, vill du ha hjälp med?
Jag förstår inte alls hur jag ska göra b uppgiften
Denna lösning är FEL. Jag ser inte just nu felet, men kanske gör du det.
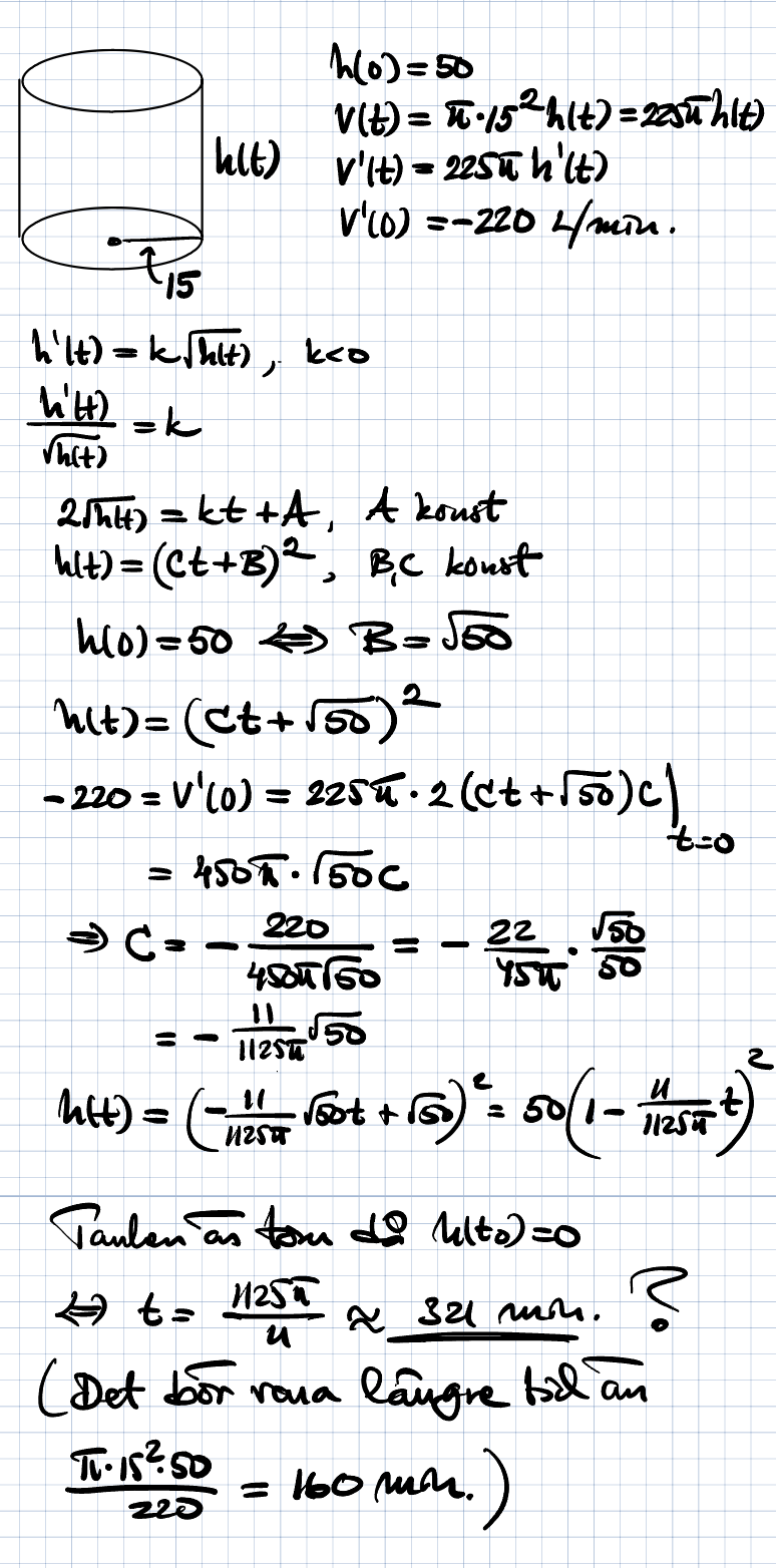
Om cylindern har bas A och höjd H så är volymen AH (dm3)
Om det rinner ut U lit/min så tar det
T = AH/U minuter. (1)
vid konstant tömningshastighet.
Om tömningshastigheten u är prop mot roten ur vattennivån h, så har vi
u/U = (h/H)1/2, dvs u = U (h/H)1/2
Då tänker jag att vi ersätter det konstanta U i (1) med U(h/H)1/2
och integrerar tiden där h går från H till 0.
Om jag räknar rätt borde det bli 2 AH/U, dvs dubbla tiden.
Men jag får 2 AH2 / U,
så någonstans har jag tänkt fel.
Kanske rör detta bara till det. Strunta i det isåfall. Eller så får du inspiration till en bättre lösning.

Vad tror ni om

konen lägger till en extra problemdimension då radien varierar. Någon som har lust att göra denna. Jag är trött..
Nu såg jag att frågan var om b-uppg... Jag ÄR trött...