0
svar
62
visningar
kulan18 behöver inte mer hjälp
Omskrivning 2:a ord. ODE till 1:a ord. ODE
Tjena,
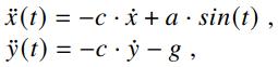
Jag ska använda Runge-Kutta 4 algoritmen för att approximera två andra ordningens ODE:er;
För att kunna använda RK4 vet jag att man måste skriva om ODE:erna till ett system av första ordningens ODE:er och jag är lite osäker på hur det går till. I uppgiften är även detta givet;

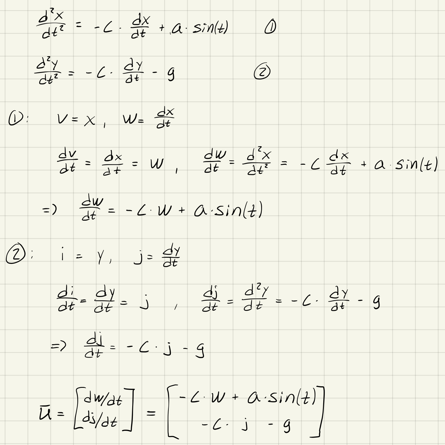
Jag har hittills gjort detta;

Men jag är lite osäker på om jag tänker rätt.