1
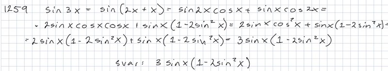
svar
102
visningar
Megalomanen behöver inte mer hjälp
Omskrivning
Hej! Vad har gått på tok? Mitt kan förenklas till 3sinx - 6sin3x. 6:an o 4:an skiljer.



är inte samma sak som
