1 svar
116 visningar
ozium behöver inte mer hjälp
ozium 18
Postad: 18 mar 2024 15:25

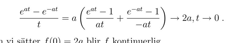
Omskrivning av bråk

Hej jag förstår inte hur den här omskrivningen går till? Har försökt att förlänga och förkorta på olika sätt. Kan någon ge mig en hint hur jag skall börja ? Tack

jamolettin 283
Postad: 18 mar 2024 15:52

Addera (1-1), alltså noll, till täljaren. Dela upp bråket och bryt ut ett minustecken. 

Svara
Close