Omskrivning av ett enkelt uttryck
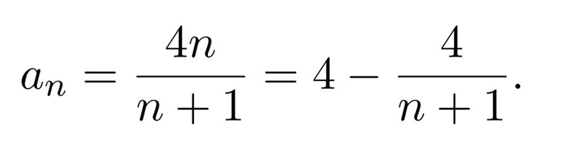
Hej! Jag stötte på denna omskrivningen i ett motsägelsebevis och jag har suttit med det länge nu men jag förstår det fortfarande inte riktigt. Någon som kan förklara?

Tuss skrev:Hej! Jag stötte på denna omskrivningen i ett motsägelsebevis och jag har suttit med det länge nu men jag förstår det fortfarande inte riktigt. Någon som kan förklara?
Om du går från högerledet till vänsterledet genom att förlänga 4:an till 4(n+1)/(n+1) kanske det blir tydligare varför likheten gäller?
Daniel Pedersen skrev:Tuss skrev:Hej! Jag stötte på denna omskrivningen i ett motsägelsebevis och jag har suttit med det länge nu men jag förstår det fortfarande inte riktigt. Någon som kan förklara?
Om du går från högerledet till vänsterledet genom att förlänga 4:an till 4(n+1)/(n+1) kanske det blir tydligare varför likheten gäller?
Tack! Det hjälpte:)