3 svar
197 visningar
dave behöver inte mer hjälp
dave 37
Postad: 27 okt 2020 13:25

Omskrivning av formel

Hej! 

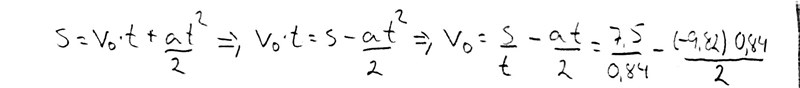
Formeln omskrivning ovan förstår jag inte, speciellt den första omskrivningen. Enligt mig borde de bli:

-vo x t = at^2/2 -s

Någon som kan ge mitt huvud lite klarhet?

Ture 11046 – Livehjälpare
Postad: 27 okt 2020 13:32
dave skrev:

Hej! 

Formeln omskrivning ovan förstår jag inte, speciellt den första omskrivningen. Enligt mig borde de bli:

-vo x t = at^2/2 -s

Någon som kan ge mitt huvud lite klarhet?

Det är samma sak!

dave 37
Postad: 27 okt 2020 13:51

aha, tack så mycket. Skulle du kunna förklara hur personen som gjort omskrivningen har tänkt? 

Smaragdalena 78892 – Avstängd
Postad: 27 okt 2020 21:25

Subtrahera ½at2 på båda sidor och byt plats på VL och HL.

Svara
Close