2 svar
118 visningar
Jeppchef behöver inte mer hjälp
Jeppchef 2
Postad: 28 feb 2025 17:49

Omskrivning av icke-linjärt ekvationssystem till linjär form

Hej!

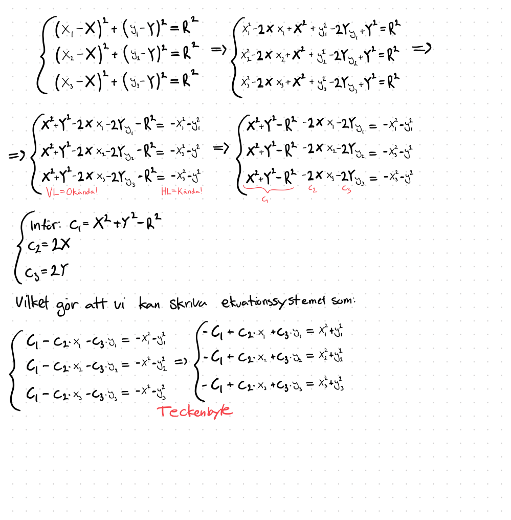
Jag håller på med följande uppgift i Numeriska Metoder.
Jag har kommit fram till följande: 
Mitt problem blir att jag får c1 till negativt i sista steget när jag skiftar tecken. Hoppas på att få lite guidning så att jag kan slutföra uppgiften.

Stort tack! 

Gustor 803
Postad: 28 feb 2025 18:25 Redigerad: 28 feb 2025 18:26

Hur blir det om du låter c1=R2-X2-Y2c_1=R^2-X^2-Y^2 istället? Att c2=2Xc_2=2Xoch c3=2Yc_3=2Y är väl redan givet.

Jeppchef 2
Postad: 1 mar 2025 11:56
Gustor skrev:

Hur blir det om du låter c1=R2-X2-Y2c_1=R^2-X^2-Y^2 istället? Att c2=2Xc_2=2Xoch c3=2Yc_3=2Y är väl redan givet.

Tack Gustor för svaret, det gjorde susen! 

Svara
Close