3
svar
94
visningar
Tuss behöver inte mer hjälp
Omskrivning i induktionsbevis
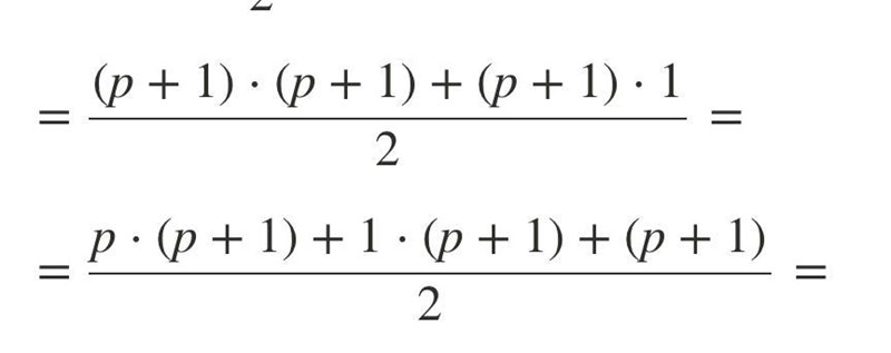
Hej! Jag förstår inte riktigt vad som händer mellan de här två stegen i ett induktionsbevis, kan någon förklara?
De expanderar en av parenteserna:
:)
Jahaaaa, tack så mycket för det snabba svaret!:D
Varsågod! :)