4
svar
194
visningar
MrPotatohead behöver inte mer hjälp
Omskrivning integral
Hej
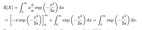
Vad är det som händer här:

?
Funktionen är jämn och antar samma värden på och . Integralen över de positiva talen är då hälften av integralen över alla .
Jodå, tack.
Jag får att den sista termen borde ha en 2a framför sig. Ser du var den tar vägen?
Tänker du att den ska dyka upp från den partiella integrationen någonstans?
Antiderivatan till är (plus ). En liten tweak på funktionen ger att antiderivatan till
är