Omvandla till polär form, förstår inte denna metod
Hej!
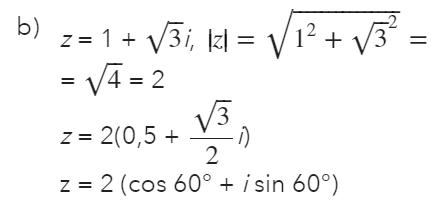
I dessa uppgifter ska man omvandla de komplexa talen till polär form. Jag får rätt svar via min/lärobokens metod (räkna ut r och sen v via tanv=b/a). I facit gör de dock en lite annorlunda uträkning. Hänger inte med på hur de gör deras uträkningar? Varifrån kommer 0,5 och bråket med roten ur på rad 3?

Mvh trött
Detta går inte in alltså, är nog sovdags tror jag... Återkommer imorgon!
ytrewq skrev:Detta går inte in alltså, är nog sovdags tror jag... Återkommer imorgon!
Är du med på att ?
Är du med på att ?
I så fall borde du vara med på att
Ursäkta sent svar, det var inte min mening! :)
Jag är med på dessa likheter.
Så det facit gör är att först räkna ut r, i detta fall 2. Sedan ändrar dom så att det i parenteserna blir till ursprungstalet, när det multipliceras med 2. Slutligen så ändrar de på värdena så att det blir till vinkeln istället.
Varför gör man så? Det känns som en omväg att skriva för det behövs väl inte egentligen, man kan väl bara räkna ut r samt arg z direkt?
ytrewq skrev:Varför gör man så? Det känns som en omväg att skriva för det behövs väl inte egentligen, man kan väl bara räkna ut r samt arg z direkt?
Nej, det behövs inte egentligen.
Men det är faktiskt en genväg, inte en omväg.
De utnyttjar då att och är de exakta värdena för respektive cos(60°) och sin(60°).
De hoppar alltså över steget
Ah! Det var framsynt av dom :) Förstår, tack för hjälpen!