1
svar
72
visningar
Megalomanen behöver inte mer hjälp
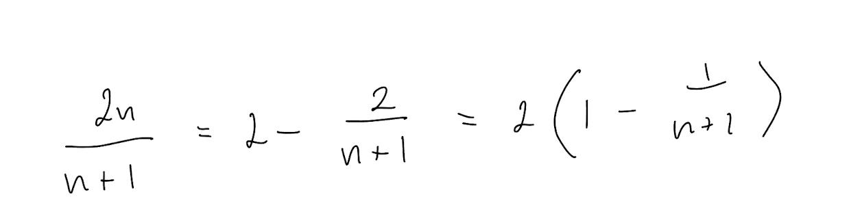
Omvandling från ett tal till ett annat jag inte förstår.
Hej! Kan någon förklarar hur detta steg gjorts.

Jag ser att man kan förkorta bort n! men vad händer sen? Jag kan även skriva om så här men längre kommer jag inte.
Tack!
Edit: Förkorta bråket med n