Operation av imaginärdel
Om ett komplext tal z är Re(z)+ Im(z)i
[ är alltså konjugatet Re(z) - Im(z)i]
Vad betyder då ?
Är det samma sak som Im(z) Im() = Im(z) · -Im(z) eftersom Im() = -Im(z) ?
Prova.
Eller multiplicera ihop z och z-konjugat och se vad du får.
Hej!
Om så är , och då blir frågan:
Vad är ?
Laguna skrev:Prova.
Eller multiplicera ihop z och z-konjugat och se vad du får.

Men vet inte om man kan skriva -Im(z) som Im() eller ens vad Im() betyder/definieras
Moffen skrev:Hej!
Om så är , och då blir frågan:
Vad är ?
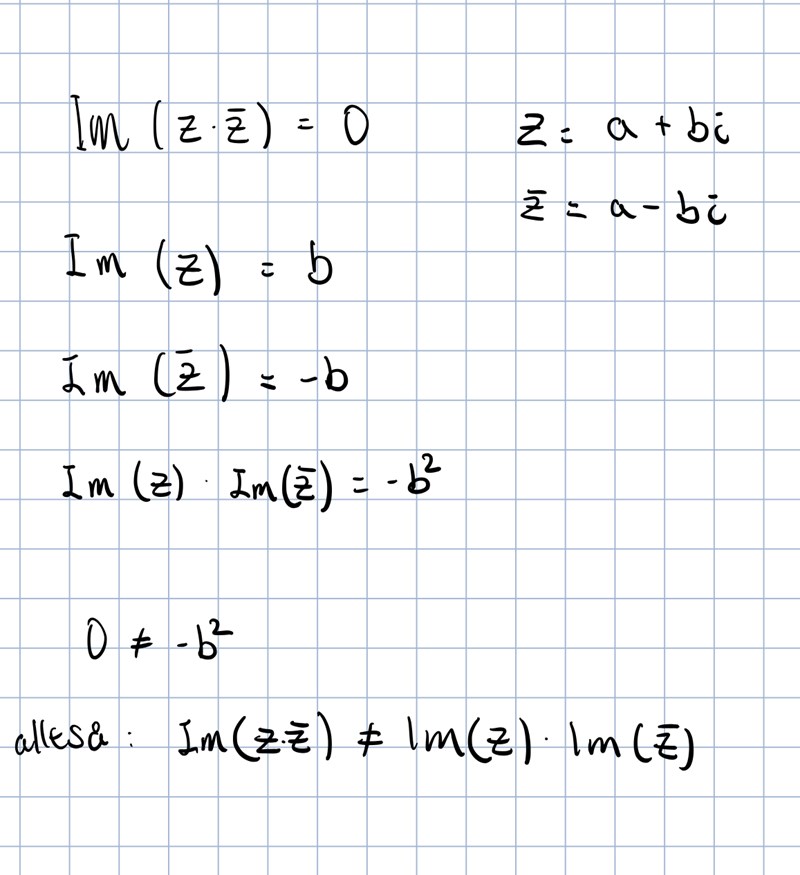
Om Im(z) är imaginära delen av z vilket är b
så är = 0 eftersom inte har någon imaginärdel??
Jag råder dig att vid sådana här uppgifter att alltid sätta , eftersom du då istället för att behöva kunna massa räkneregler för konjugat, absolutbelopp, imaginärdelar o.s.v. kan du direkt härleda dem.
I detta fallet får du ju mycket riktigt att .
AlvinB skrev:Jag råder dig att vid sådana här uppgifter att alltid sätta , eftersom du då istället för att behöva kunna massa räkneregler för konjugat, absolutbelopp, imaginärdelar o.s.v. kan du direkt härleda dem.
I detta fallet får du ju mycket riktigt att .
Vi kallar ett tal för z
Vad menas egentligen med Im(z)? Är det hur stor absolutbeloppet är för den imaginära delen av talet z och det är därför Im ( ) är lika med 0? Det skulle alltså också betyda att Re() = ?
Hej!
Ett komplext tal är ett ordnat par av reella tal . Det reella talet är realdelen för och det reella talet är imaginärdelen för ; både och kan vara negativa tal.
Du skrev om "absolutbeloppet för den imaginära delen av talet z" vilket är samma sak som det icke-negativa talet ; detta är naturligtvis inte samma sak som det reella talet .
Två komplexa tal och multipliceras på ett mycket speciellt sätt:
Om man multiplicerar med sitt komplexkonjugerade tal så får man därför det komplexa talet
Multiplikationen besvarar din fråga huruvida
Albiki skrev:Två komplexa tal och multipliceras på ett mycket speciellt sätt:
Om man multiplicerar med sitt komplexkonjugerade tal så får man därför det komplexa talet
Jaha, så det är som multiplikation av (a+b)(c+d) där termer med i är den imaginära delen och de utan den realadelen.
Albiki skrev:Hej!
Ett komplext tal är ett ordnat par av reella tal . Det reella talet är realdelen för och det reella talet är imaginärdelen för ; både och kan vara negativa tal.
Du skrev om "absolutbeloppet för den imaginära delen av talet z" vilket är samma sak som det icke-negativa talet ; detta är naturligtvis inte samma sak som det reella talet .
Just det, talet kan vara negativt också!
Albiki skrev:Multiplikationen besvarar din fråga huruvida

Alltså inte samma sak?
Zeshen skrev:[...] Alltså inte samma sak?
Just det.
Beräkningen visar räkneregeln