Operationer med den naturliga logaritmen
Goddag!
Uppgiften ser ut på följande vis:
Man har i facit skrivit om täljaren som:
Hur kommer det sig att man får göra detta?
Kan du lägga upp en bild eller liknande? Jag har svårt att tro att de skulle göra ett sånt steg utan att förklara sig.
Det går ju att göra så här eftersom när är litet, men jag tycker ändå de borde förklara sig närmare.
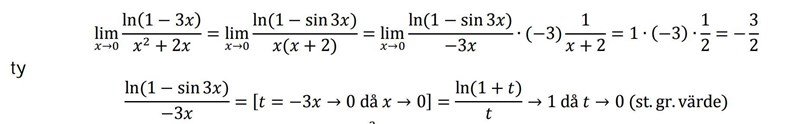
Såhär ser det ut i Lösningsskissen.

Man kan antingen göra det lätt eller krångla till det.
Det verkar för mig vansinnigt att dra in sinus i detta.
Vad poängen med att sätta in sinus i detta fall är undgår mig, men anledningen till att man kan göra det är eftersom att , och ju närmare du kommer noll desto mer exakt blir uppskattningen. Tar du gränsvärdet mot noll ter sig på samma sätt som , och eftersom de ter sig på samma sätt när de närmar sig noll kan man växla den ena mot den andra i gränsvärdet.
Det känns som att det är ett tryckfel någonstans. Är uppgiften kanske helt enkelt gränsvärdet för
ln(1 - sin(3x))/(x^2 + 2x)
?
Hej!
Istället för att göra galenskaperna som står i facit föreslår jag följande metod.
Täljaren skrivs om som
och kvoten förlängs med Nämnaren skrivs om till
Det låter dig uttrycka kvoten på följande form.
där jag definierat funktionerna
När talet närmar sig kommer kvoten att närma sig talet enligt definitionen av derivatorna och Kvoten är lika med