Operationsförstärkare
Jag ska försöka räkna ut C1 och C2 så att gränsfrekvenserna blir 250 och 1500. Men jag vet inte hur jag ska få fram ekvationer runt operationsförstärkaren. Går det ens någon ström genom R2 och R4? Kan man i så fall ha spänning utan ström??
Spänningen mellan "+" och "-" på resp. OP-amp kan antas vara nära noll.
Strömmen in i "-"-ingången på resp. OP-amp kan antas vara nära noll.
Utspänningen hos resp. OP-amp hittar man då (-: nästan :-) på "+"-ingången via R2 resp. R4
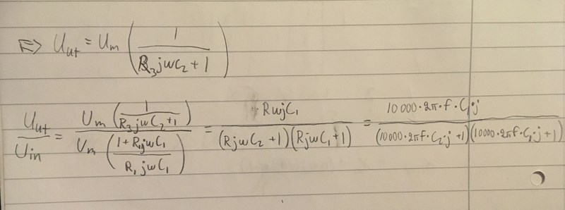
Uppgiften löses sedan genom att tillämpa spänningsdelning och använda -metoden
Och hur använder man det? Jag började med det jag tror att jag förstår. Men vad gör jag nu av alla noll och nästan noll osv? Om spänningen mellan + och minusingången är 0 så blir potentialen vid - också V1 eller? Och om det inte går någon ström in i den, så betyder väl det att spänningen över R2 är 0*10? Så V1=V2? Varför är den då där öht??
Du tillämpar inte spänningsdelning som jag skrev.
Det sista raden kallas för "överföringsfunktionen"
Så varför har man en op där? Om den ändå bara ger ut samma som man stoppar in?
Så varför har man en op där?
Bra fråga! V2 påverkas inte av impedansen i efterföljande steg. Man kan beskriva varje OP-amp som en isolations-förstärkare.
Googlade på det nu och är med på iden, men ingen av de jag såg hade en resistans mellan - och ut. Vad har den för funktion? Alltså R2 och R4.
Man kan välja värde på R2 och R4 som typiskt är två tiopotenser mindre än ingångs-impedansen (1M?) hos OP-amparna. Då blir spänningsfallet över resistanserna försumbart. Resistanserna återkopplar utspänningarna till "+"-ingångarna
V2 påverkas inte av impedansen i efterföljande steg
Ovanstående gäller "inom rimliga gränser", som har med OP-ampens maximala drivförmåga att göra.


Ser det här rätt ut? Ska jag stoppa in gränserna på f och sätta den lika med 1/rot2 då?
Vad var det för fel med V1, V2 och V3?
Ska jag nu gissa på vad Umitten är?
Antar att det är V2. Jag såg inte att det var samma sak. Jag delade in det i 2 delar, för det är väl egentligen 2 filter?
Jo, man kan se det som två filter.
Du ska skriva två spänningsdelningar, varav jag redan har skrivit den första.
Är det inte det jag har gjort? Med lite fler steg kanske.. Kan man sen räkna ut c1 och c2 genom att sätta in frekvenserna man vill ha? Eller ska det göras på ngt annat sätt?
Du har slarvat lite med indexen, sedan brukar man skriva:
Sedan måste man förstå hur man identifierar gränsfrekvenser i ett uttryck som ovan.
När man ritar ovanstående förstår man bättre att:
Gränsfrekvens 1 beräknas från:
Gränsfrekvens 2 beräknas från:

Ser det rätt ut nu? Tyckte det blev ganska rimliga siffror va? 😃
Utmärkt!
Öva annars på att ställa upp din beräkningar, där talvärdena skrivs med tiopotenser. Det kan vara lättare att "göra rätt" då :-)
Filtertypen i uppgiften kallas för bandpass-filter. Googla gärna på det...
Tack! 😃 Du har verkligen räddat min helg!
